目录
一. 单个高阶常微分方程
例题1
二. 高阶常微分方程组
例题2
三. 刚性微分方程
例题3
例题4
四. 隐式微分方程
例题5
一. 单个高阶常微分方程
一个高阶常微分方程的一般形式如下:
输出变量y(t)的各阶导数初始值为如下:
选择一组状态变量如下:
原高阶常微分方程模型可以变换为如下:
初值转换为如下:
例题1
已知边界值如下:
用数值的方法求Van der Pol方程的解,如下:
解:
首先做一个小小的转变:
范德坡方程的函数描述如下:
function y=vdp_eq(t,x,flag,mu)
y=[x(2);-mu*(x(1)^2-1)*x(2)-x(1)];
clc;clear;
x0=[-0.2,-0.7];
t_final=20;
mu=1;
[t1,y1]=ode45('vdp_eq',[0,t_final],x0,[],mu);
mu=2;
[t2,y2]=ode45('vdp_eq',[0,t_final],x0,[],mu);
plot(t1,y1,t2,y2,':')
figure;
plot(y1(:,1),y1(:,2),y2(:,1),y2(:,2),':')
运行结果:


实际上,由于变步长所采用的步长过小,所需时间较长,会导致输出的y矩阵过大,会超出计算机存储空间容量。此时就不适合用ode45()函数来求解,可以用刚性方程求解算法ode15s()。
二. 高阶常微分方程组
高阶常微分方程的通式如下:

选择状态变量,如下:

于是,原方程组就可以变成如下形式:

此过程的主题思想就是高阶变一阶,以方便使用ode 45函数。
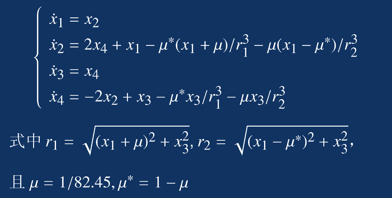
例题2

解:
选择一组状态变量,如下:
由此得出一阶常微分方程组,如下:

此题MATLAB有两个文件。
(1)函数文件
function dx=apolloeq(t,x)
mu=1/82.45;
mu1=1-mu;
r1=sqrt((x(1)+mu)^2+x(3)^2);
r2=sqrt((x(1)-mu1)^2+x(3)^2);
dx=[x(2);
2*x(4)+x(1)-mu1*(x(1)+mu)/r1^3-mu*(x(1)-mu1)/r2^3;
x(4);
-2*x(2)+x(3)-mu1*x(3)/r1^3-mu*x(3)/r2^3];
(2)主运行文件
clc;clear;
x0=[1.2;0;0;-1.04935751];
options=odeset;options.RelTol=1e-6;
[t1,y1]=ode45('apolloeq',[0,20],x0,options);
plot(y1(:,1),y1(:,3))
运行结果:

三. 刚性微分方程
刚性微分方程是一类特殊的常微分方程,其中一些解变化缓慢,另一些变化快,且两者相差悬殊。此时可用ode15s()函数求解,该函数的调用格式与ode45()完全一样。如下:
[t,x]=ode15s(Fun,[t0,tf],x0,options,p1,p2,···)
例题3
求解时的Van der Pol方程的数值解。
解:
此题有两个文件。
(1)微分描述文件
function y=vdp_eq(t,x,flag,mu)
y=[x(2);-mu*(x(1)^2-1)*x(2)-x(1)];
(2)主运行文件
clc;clear;
%计算范德坡方程
h_opt=odeset;h_opt.RelTol=1e-6;
x0=[2;0];
t_final=3000;
mu=1000;
[t,y]=ode15s('vdp_eq',[0,t_final],x0,h_opt,mu);
plot(t,y(:,1));
figure,
plot(t,y(:,2))
运行结果:


第一个曲线变化较为平滑,第二个曲线在某些点上变化较快。
例题4
该题求数值解,初值为如下:
计算区间为
原微分方程如下:
解:
(1)函数文件
%定义函数
function dy=c7exstf(t,y)
dy=[0.04*(1-y(1))-(1-y(2))*y(1)+0.0001*(1-y(2))^2;...
-10^4*y(1)+3000*(1-y(2))^2];
(2)主运行文件
clc;clear;
%方法一
[t2,y2]=ode45('c7exstf',[0,100],[0;1]);
plot(t2,y2)
format long
step1=[min(diff(t2)),max(diff(t2))] %步长分析
figure,
plot(t2(1:end-1),diff(t2))
%方法二:用ode15s()代替ode45()
opt=odeset;opt.RelTol=1e-6;
[t1,y1]=ode15s('c7exstf',[0,100],[0;1],opt);
figure,
plot(t1,y1)
figure,
plot(t1(1:end-1),diff(t1))
运行结果:
step1 = 0.000222206938844 0.002149717871840




四. 隐式微分方程
隐式微分方程是不能转为显式常微分方程组的方程。
例题5
已知,求以下方程的数值解。
解:
令,原方程改写成:
其中A(x)与B(x)为如下:
B(x)为右端项。
(1)函数文件
function dx=c7ximp(t,x)
A=[sin(x(1)) cos(x(2));-cos(x(2)) sin(x(1))];
B=[1-x(1);-x(2)];
dx=inv(A)*B;
(2)主运行文件
clc;clear;
%求解
opt=odeset;opt.RelTol=1e-6;
[t,x]=ode45('c7ximp',[0,10],[0;0],opt);
plot(t,x) %变步长
运行结果:

最后
以上就是敏感墨镜最近收集整理的关于基于MATLAB的高阶常微分方程组求解(附完整代码)一. 单个高阶常微分方程二. 高阶常微分方程组三. 刚性微分方程四. 隐式微分方程的全部内容,更多相关基于MATLAB的高阶常微分方程组求解(附完整代码)一.内容请搜索靠谱客的其他文章。
发表评论 取消回复