我是靠谱客的博主 多情保温杯,这篇文章主要介绍四元数、欧拉角及方向余弦矩阵的相互转换公式,现在分享给大家,希望可以做个参考。

转自http://blog.csdn.net/u012763833/article/details/50650995

四元数、欧拉角及方向余弦矩阵的相互转换公式

一、欧拉角转四元数(常用来初始化四元数) 
按Z-Y-X的旋转变换顺序有:

欧拉角转四元数

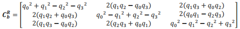
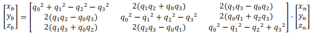
二、四元数与旋转矩阵(常用来作坐标变换) 
1.b系到R系的坐标变换矩阵 
四元数与旋转矩阵

2.R系至b系的坐标变换矩阵公式 
四元数与旋转矩阵

详情:http://blog.csdn.net/u012763833/article/details/52583350

三、欧拉角转方向余弦矩阵

欧拉角转方向余弦矩阵

由以上两式可得,经三次基本旋转对应的坐标变换为: 
这里写图片描述

从上述方向余弦矩阵中可方便提取欧拉角

四、四元数转欧拉角

四元数转欧拉角

五、附C程序


void eulerAnglesToQuaternion(void) 
{ 
    cosRoll = cosf(roll * 0.5f); 
    sinRoll = sinf(roll * 0.5f);

    cosPitch = cosf(pitch * 0.5f);
    sinPitch = sinf(pitch * 0.5f);

    cosHeading = cosf(hdg * 0.5f);
    sinHeading = sinf(hdg * 0.5f);

    q0 = cosRoll * cosPitch * cosHeading + sinRoll * sinPitch * sinHeading;
    q1 = sinRoll * cosPitch * cosHeading - cosRoll * sinPitch * sinHeading;
    q2 = cosRoll * sinPitch * cosHeading + sinRoll * cosPitch * sinHeading;
    q3 = cosRoll * cosPitch * sinHeading - sinRoll * sinPitch * cosHeading; 
}

void quaternionToRotationMatrix(void) 
{ 
    float q1q1 = sq(q1); 
    float q2q2 = sq(q2); 
    float q3q3 = sq(q3);

    float q0q1 = q0 * q1;
    float q0q2 = q0 * q2;
    float q0q3 = q0 * q3;
    float q1q2 = q1 * q2;
    float q1q3 = q1 * q3;
    float q2q3 = q2 * q3;

    rMat[0][0] = 1.0f - 2.0f * q2q2 - 2.0f * q3q3;
    rMat[0][1] = 2.0f * (q1q2 + -q0q3);
    rMat[0][2] = 2.0f * (q1q3 - -q0q2);

    rMat[1][0] = 2.0f * (q1q2 - -q0q3);
    rMat[1][1] = 1.0f - 2.0f * q1q1 - 2.0f * q3q3;
    rMat[1][2] = 2.0f * (q2q3 + -q0q1);

    rMat[2][0] = 2.0f * (q1q3 + -q0q2);
    rMat[2][1] = 2.0f * (q2q3 - -q0q1);
    rMat[2][2] = 1.0f - 2.0f * q1q1 - 2.0f * q2q2;
}

void quaternionToEulerAngles(void) 
{ 
    roll = atan2f(2.f * (q2q3 + q0q1), q0q0 - q1q1 - q2q2 + q3q3); 
    pitch = asinf(2.f * (q0q2 - q1q3)); 
    yaw = atan2f(2.f * (q1q2 + q0q3), q0q0 + q1q1 - q2q2 - q3q3); 

}

最后

以上就是多情保温杯最近收集整理的关于四元数、欧拉角及方向余弦矩阵的相互转换公式的全部内容,更多相关四元数、欧拉角及方向余弦矩阵内容请搜索靠谱客的其他文章。

本图文内容来源于网友提供,作为学习参考使用,或来自网络收集整理,版权属于原作者所有。
点赞(187)

评论列表共有 0 条评论

立即
投稿
返回
顶部