- 判断游戏画质好坏的方法:屏幕是否足够亮(全局光照)
- 光栅化:三维空间的几何形体显示到屏幕上
- 计算机图形学中实时的要求:每秒大于等于30帧(30fps)否则为离线的(off-line)
- CV:一切需要猜测的东西(通过图像去判断各个对象)

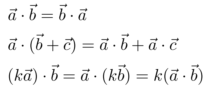
- 点积在图形学中的应用

1)计算两个向量的夹角,衡量两个方向的相近程度
2)计算一个向量到另一个向量的投影,重构出该向量的组成
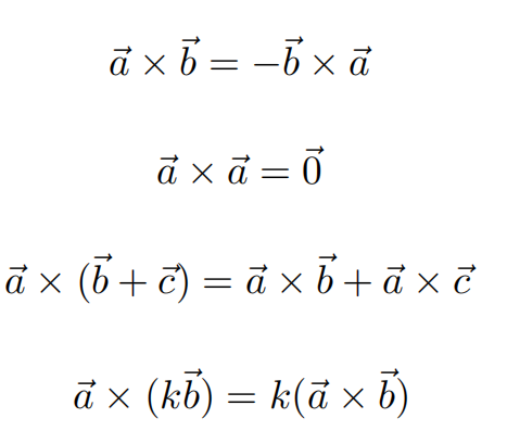
3)定义前和后(点积大于0和小于0) - 叉乘


1)叉乘的方向垂直于两个向量所在的平面
2)叉乘方向使用右手螺旋定则确认
3)叉乘可用于定义坐标系
4)判定左右,内外(左右是a叉乘b为正,那么b在a的左侧,三条边叉乘符号都是-或者都是正,那么在三角形内)

-
齐次坐标的理解
1)为了使用一个矩阵来表示所有的变换
2)点的最后一个分量为1,向量的最后一个分量为0
3)先线性变换再平移 -
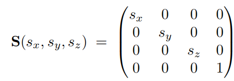
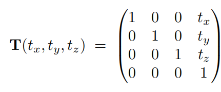
三维空间坐标变换
1)缩放变换

2)平移变换

3)旋转变换(绕轴旋转)

4)旋转变换(任意)

Roll代表以中指为轴,旋转。
Yaw代表z不变,左右摇摆。
Pitch代表飞机抬头、低头。
罗德里格斯旋转公式:推导过程

-
相机摆放的标准位置:放置在原点,上方是y轴正方向,看向-z方向,并且所有的物体也要使用此变换进行跟随变换。
-
透视投影的推导
1)推导思想:透视投影等于先对视锥体内的物体做一次透视投影,然后对立方体区域做一次正交投影。
2)利用相似三角形关系,求出x,y对应的关系


3)通过上式可以推导出以下矩阵

4)利用两条性质,推导出第三行的数据,“近平面各个坐标不变”,“远平面z轴坐标不变”。


5)推导完毕。
最后
以上就是闪闪棒球最近收集整理的关于GAMES101课堂笔记(1)基础内容的全部内容,更多相关GAMES101课堂笔记(1)基础内容内容请搜索靠谱客的其他文章。
本图文内容来源于网友提供,作为学习参考使用,或来自网络收集整理,版权属于原作者所有。
发表评论 取消回复