我是靠谱客的博主 高高哈密瓜,这篇文章主要介绍归并排序&求逆序数,现在分享给大家,希望可以做个参考。


什么是逆序数:


首先需要了解逆序对的概念:如果在一个序列/数列中,满足
这里写图片描述
则ax和ay称为一对逆序对。
现在考虑一个问题:
对一个大小为N(即有N个元素)元素随机无序且唯一的整数序列中,平均有多少个逆序对?
一个构造证明的方法如下:
设一个随机无序且元素唯一的整数序列为
这里写图片描述
我们令Lr为L的反向序列,即
这里写图片描述
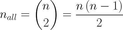
然后在Lr中任取两个数,设为ai和ak,那么(i小于k)(ai,ak)组成的数对要么在Lr中是逆序对,要么在L中是逆序对
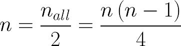
所以,Lr和L中的逆序对总数为
这里写图片描述
所以,L中逆序对的均值为
这里写图片描述
也就是说,N个元素的随机数列中逆序对数是O(N2)。那么这又有什么意义呢?
考虑排序问题,在通常升序排列的规定下,违反有序性质的元素都是某个逆序对的一部分。而基于邻位交换的排序算法的目的之一就是消除序列中的逆序对。
这意味着序列中基于邻位交换排序算法的时间复杂度和逆序对的数量是成正比的。
这也从另一个角度证明了基于邻位交换的排序算法的期望时间复杂度是平方级别的,典型的比如插入排序和冒泡排序。


归并排序:


算法:归并排序是分治法(分而 治之)的一种典型应用,应用递归的思想,自顶向下思考:先假定MergeSort()可以将一个乱序的数组排好序,因此就可以开始”分”(将一个数组平均 分成两部分),再”治”(分别对前后部分调用MergeSort()使它们有序),最后再写一个合并子函数Merge(),它可以将两个有序的数组合 并。Merge()实现起来比较容易.只需要管理两个指针,分别指向两个子数组的开头,开辟新内存保存中间结果,遍历完两个数组就可以完成,时间是Θ(n).
假定n个元素的数组调用MergeSort()需要时间T(n).因此,T(n)=2T(n/2)+Θ(n).由主定理可知:T(n)=Θ(nlogn).归并排序算法的时间复杂度是Θ(nlogn),空间复杂度是Θ(n).


如何借助归并排序求逆序数:


  求逆序数可以通过管理两个指针,两次扫描数组,蛮力法求出,显然时间复杂度 是Θ(n^2).那么有更快的办法吗?答案是肯定的,利用归并排序法,稍做改进即可.在Merge()中,合并两个已经有序的数组A,B.因为A.B有 序,所以,A,B各自的逆序数是0,所以AB的逆序数(忽略A、B内部的逆序数)等于A,B之间的逆序数。而A、B内部的逆序数在之前的递归中已经求出,加在总的逆序数InverseNum中。
举个例子: A=1,4,6,7,9 B=2,3,5,10,13,21.在Merge中发现当前i号元素4比2大,那么4的逆序数需要+1,又因6,7,9都排在4后面,那么6,7,9的逆 序数也应该+1,所以总体的逆序数应该加上last-i+1.(如果i号元素比B[j]小(比如4比5小),无法确定逆序数的变化,不作任何修改)。从最下面的含两个元素的数组,到上层含多个元素的数组都有前后之分,这正好与逆序对性质相符,只要我们找出数组左边部分的一个元素A[left_A], 大于 数组右边部分某个元素A[left_B] 然后就知道数组左边部分在元素A[left_A]之后的元素都应该是大于A[left_B]的。

#include<iostream>
#include<cstdio>
using namespace std;
int InverseNum=0;//逆序对数
void Merge(int* A,int left,int mid,int right,int* tmp_A)
{   //Merge可以将两个有序的数组合并且排好序,存在tmp_A数组里面,时间复杂度:o(n)
    int left_A=left,left_B=mid+1,idx_tmp_A=left;
    while(left_A <= mid && left_B <= right)
    {
        if(A[left_A] <= A[left_B]) tmp_A[idx_tmp_A++]=A[left_A++];
        else
        {
            tmp_A[idx_tmp_A++]=A[left_B++];
            InverseNum += mid-left_A+1;//逆序对数
        }
    }
    while(left_A <= mid) tmp_A[idx_tmp_A++]=A[left_A++];
    while(left_B <= right) tmp_A[idx_tmp_A++]=A[left_B++];
    //tmp_A[]已经有序,将tmp_A[]中数据复制回原数组A[]
    for(int i=left;i <= right;++i) A[i]=tmp_A[i];
}
void MergeSort(int* A,int left,int right,int* tmp_A)//假定MergeSort能将一个乱序数组A排好序.
{
    if(left < right)
    {
        int mid=(left+right)>>1;
        MergeSort(A,left,mid,tmp_A);//排好左边
        MergeSort(A,mid+1,right,tmp_A);//排好右边
        Merge(A,left,mid,right,tmp_A); //合并左右两边
    }
}

int main()
{
    freopen("output.txt","w",stdout);
    freopen("input.txt","r",stdin);
    int A[]={2,1,3,6,4,0,11,3,5};
    int len=sizeof(A)/sizeof(A[0]);
    int *tmp_A=new int[len];
    MergeSort(A,0,len-1,tmp_A);
    for(int i=0;i<len;++i) cout<<A[i]<<' ';
    cout<<endl<<InverseNum<<endl;
    delete[] tmp_A;
    return 0;
}

参考:http://blog.csdn.net/linraise/article/details/9675173

最后

以上就是高高哈密瓜最近收集整理的关于归并排序&求逆序数的全部内容,更多相关归并排序&求逆序数内容请搜索靠谱客的其他文章。

本图文内容来源于网友提供,作为学习参考使用,或来自网络收集整理,版权属于原作者所有。
点赞(199)

评论列表共有 0 条评论

立即
投稿
返回
顶部