问题:
现在,有一个nn级台阶的楼梯,每级台阶上都有若干个石子,其中第ii级台阶上有aiai个石子(i≥1i≥1)。
两位玩家轮流操作,每次操作可以从任意一级台阶上拿若干个石子放到下一级台阶中(不能不拿)。
已经拿到地面上的石子不能再拿,最后无法进行操作的人视为失败。
问如果两人都采用最优策略,先手是否必胜。
根据样例对问题分析:
Nim游戏通用原理:
给定N堆物品,第i堆物品有Ai个。两名玩家轮流行动,每次可以任选一堆,取走任意多个物品,可把一堆取光,但不能不取。取走最后一件物品者获胜。两人都采取最优策略,问先手是否必胜。
我们把这种游戏称为NIM博弈。把游戏过程中面临的状态称为局面。整局游戏第一个行动的称为先手,第二个行动的称为后手。若在某一局面下无论采取何种行动,都会输掉游戏,则称该局面必败。
所谓采取最优策略是指,若在某一局面下存在某种行动,使得行动后对面面临必败局面,则优先采取该行动。同时,这样的局面被称为必胜。我们讨论的博弈问题一般都只考虑理想情况,即两人均无失误,都采取最优策略行动时游戏的结果。
NIM博弈不存在平局,只有先手必胜和先手必败两种情况。

Method
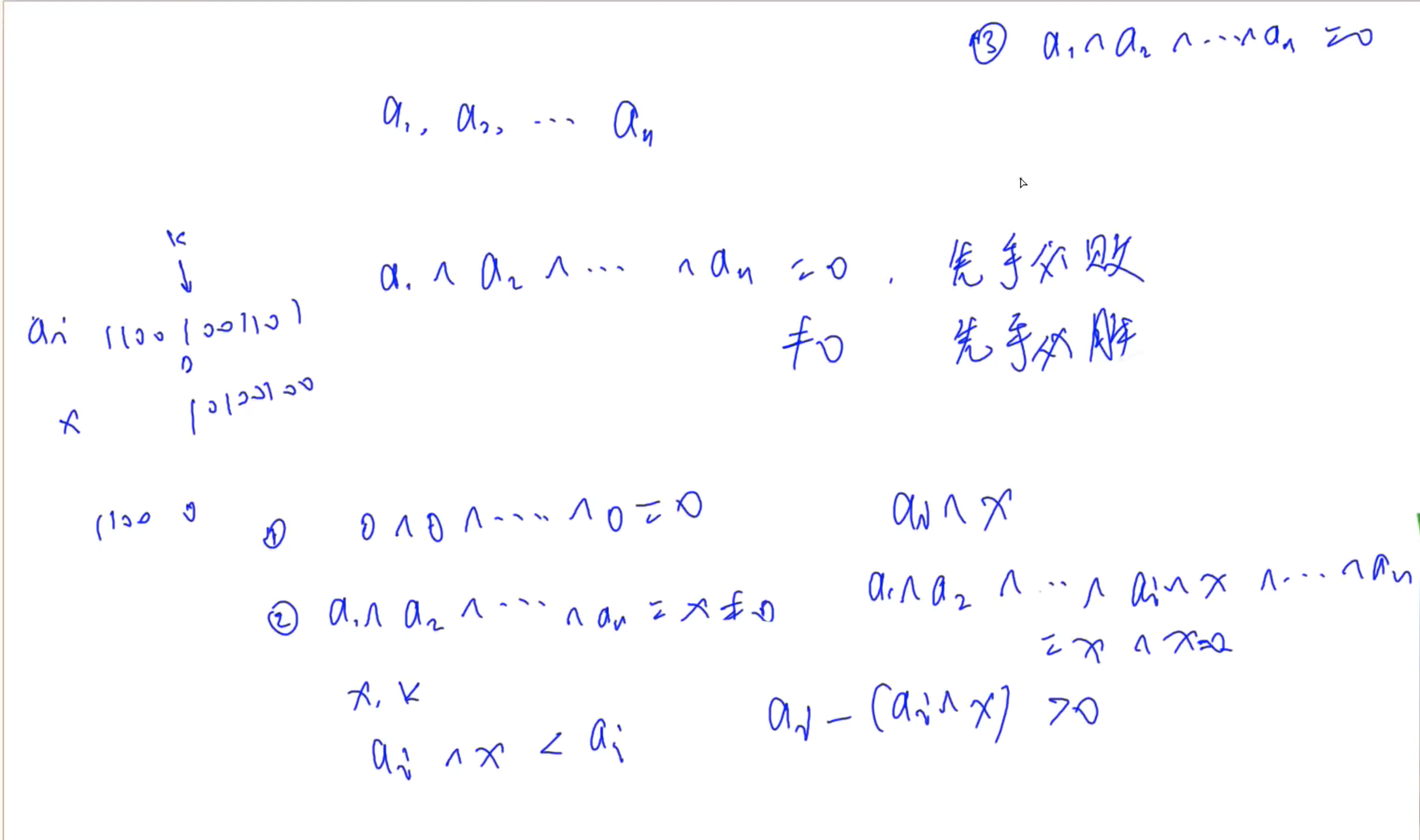
定理: NIM博弈先手必胜,当且仅当 A1 ^ A2 ^ … ^ An != 0
方法:找奇数台阶,如果奇数台阶异或!=0,则胜利。
充要条件:所有奇数级台阶所有石子异或起来不等于0.
Example
输入格式
第一行包含整数nn。
第二行包含nn个整数,其中第ii个整数表示第ii级台阶上的石子数aiai。
输出格式
如果先手方必胜,则输出“Yes”。
否则,输出“No”。
数据范围
1≤n≤1051≤n≤105,
1≤ai≤1091≤ai≤109
输入样例:
3
2 1 3
输出样例:
Yes
#include <iostream>
#include <algorithm>
using namespace std;
int main()
{
int n;
int res = 0;
scanf ("%d", &n);
for (int i = 1; i <= n; i ++)
{
int x;
scanf ("%d", &x);
if (i % 2) res ^= x;//所有奇数级台阶所有石子异或起来不等于0.
}
if (res) puts("Yes");
else puts("No");
return 0;
}
最后
以上就是独特蜻蜓最近收集整理的关于博弈论-台阶Nim游戏的全部内容,更多相关博弈论-台阶Nim游戏内容请搜索靠谱客的其他文章。
发表评论 取消回复