博弈论 AcWing 892. 台阶-Nim游戏
原题链接
AcWing 892. 台阶-Nim游戏
算法标签
数学知识 博弈论 Nim游戏
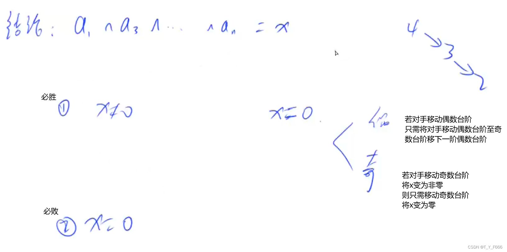
思路

代码
#include<bits/stdc++.h>
#define int long long
#define abs fabs
#define rep(i, a, b) for(int i=a;i<b;++i)
#define Rep(i, a, b) for(int i=a;i>=b;--i)
using namespace std;
const int N = 100005;
int a[N], st[N], s[N], cnt;
inline int read(){
int s=0,w=1;
char ch=getchar();
while(ch<'0'||ch>'9'){if(ch=='-')w=-1;ch=getchar();}
while(ch>='0'&&ch<='9') s=s*10+ch-'0',ch=getchar();
return s*w;
}
void put(int x) {
if(x<0) putchar('-'),x=-x;
if(x>=10) put(x/10);
putchar(x%10^48);
}
signed main(){
ios::sync_with_stdio(false);
cin.tie(0);
cout.tie(0);
int n=read();
int ans=0;
rep(i, 0, n){
a[i]=read();
if(!(i%2)){
ans^=a[i];
}
}
if(ans){
puts("Yes");
}else{
puts("No");
}
}
原创不易
转载请标明出处
如果对你有所帮助 别忘啦点赞支持哈

最后
以上就是完美口红最近收集整理的关于博弈论 AcWing 892. 台阶-Nim游戏博弈论 AcWing 892. 台阶-Nim游戏的全部内容,更多相关博弈论内容请搜索靠谱客的其他文章。
本图文内容来源于网友提供,作为学习参考使用,或来自网络收集整理,版权属于原作者所有。
发表评论 取消回复