编辑距离是用来比较两个字符串之间相似度的度量方法,表示的是两个字符串间相互转换所需要的最少步骤。
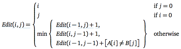
编辑距离递推公式:

算法计算步骤:
1.对于字符串A 'jarrry'和字符串B'jerr',先初始化矩阵dp为 [len(A) + 1][len(B) + 1],dp矩阵的第一行与第一列均从零开始递增,最后得矩阵为
j
a
r
r
r
y
0
1
2
3
4
5
6
j
1
e
2
r
3
r
4
2.然后从第一列开始循环。对于每个矩阵坐标 (i,j),设置中间变量temp,当 A[i] == B[j] 时,temp = 1;否则 temp = 0。
dp[i][j] = min(dp[i-1][j-1] + temp , min(dp[i-1][j] + 1 , dp[i][j-1] + 1))
3.循环完成dp矩阵为
j
a
r
r
r
y
0
1
2
3
4
5
6
j
1
0
1
2
3
4
5
e
2
1
1
2
3
4
5
r
3
2
2
1
2
3
4
r
4
3
3
2
1
2
3
dp[len(A)][len(B)]就是A,B两个字符串得编辑距离
python实现:
def edit_distance(word1, word2):
len1 = len(word1);
len2 = len(word2);
dp = np.zeros((len1 + 1,len2 + 1))
for i in range(len1 + 1):
dp[i][0] = i;
for j in range(len2 + 1):
dp[0][j] = j;
for i in range(1, len1 + 1):
for j in range(1, len2 + 1):
delta = 0 if word1[i-1] == word2[j-1] else 1
dp[i][j] = min(dp[i - 1][j - 1] + delta, min(dp[i-1][j] + 1, dp[i][j - 1] + 1))
return dp[len1][len2]
edit_distance("jarrry", "jerr")
3.0
最后
以上就是傲娇板栗最近收集整理的关于python实现编辑距离_编辑距离计算python实现的全部内容,更多相关python实现编辑距离_编辑距离计算python实现内容请搜索靠谱客的其他文章。
发表评论 取消回复