目录
3D-2D求解方法
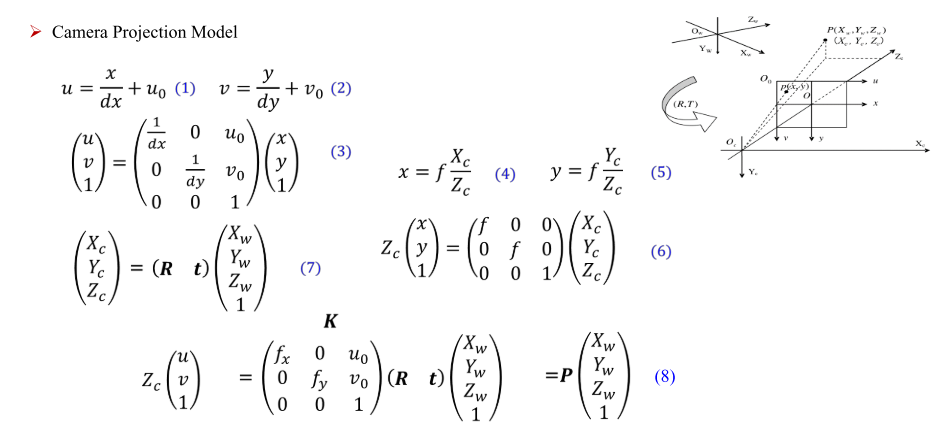
3D-2D原理推导
3D-2D求解方法

PnP是求解3D到2D点对运动的方 法。它描述了当知道n个3D空间点 及其投影位置时,如何估计相机的 位姿(位置和姿态)。
PnP: perspective-n-Point
EPnP: Efficient PnP
3D-2D原理推导









最后
以上就是虚幻可乐最近收集整理的关于【多传感器融合理论】05实战基础之3D-2D求解方法的全部内容,更多相关【多传感器融合理论】05实战基础之3D-2D求解方法内容请搜索靠谱客的其他文章。
本图文内容来源于网友提供,作为学习参考使用,或来自网络收集整理,版权属于原作者所有。
发表评论 取消回复