从零手写VIO(3)
文章目录
- 从零手写VIO(3)
- 一、作业
- 1.曲线
- 2.公式推导
- 二、代码解析
- 总结
一、作业

这部分主要参考了深蓝学院《从零开始手写VIO》作业三和从零手写VIO(三)——LM算法
1.曲线
使用python画图,python入门参考十分钟快速入门 Python
新建py文件,运行如下
import os
import matplotlib
import matplotlib.pyplot as plt
filepath=os.path.abspath('.')
y=[]
with open(filepath+'/lambda.txt') as f:
data=f.readlines()
for line in data:
print(float(line))
y.append(float(line))
plt.plot(y)
plt.show()
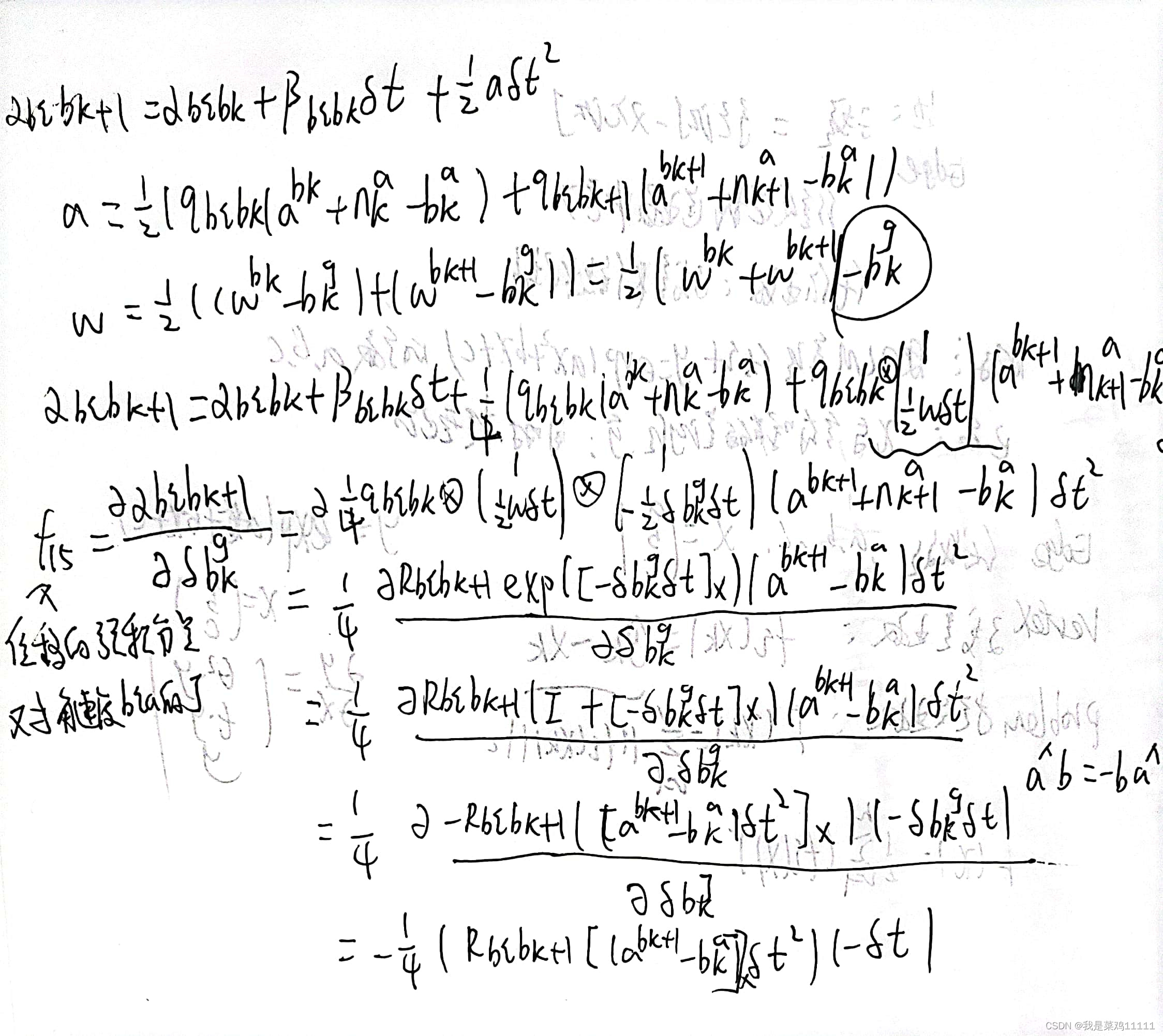
2.公式推导


二、代码解析
这部分主要参考了LM算法参数优化实例——残差函数、雅可比矩阵
总结
这一部分无论是公式推导还是代码都比较难 我还是太菜了!
继续加油努力!
最后
以上就是冷艳丝袜最近收集整理的关于从零手写VIO(3)从零手写VIO(3)一、作业二、代码解析总结的全部内容,更多相关从零手写VIO(3)从零手写VIO(3)一、作业二、代码解析总结内容请搜索靠谱客的其他文章。
本图文内容来源于网友提供,作为学习参考使用,或来自网络收集整理,版权属于原作者所有。
发表评论 取消回复