一、几何分布
假设某种赌博游戏的胜率为0.2,那么意味着你玩第一次就胜出的概率为0.2。
那玩第二次才胜出呢?“玩第二次才胜出”就意味着玩第一次是失败的,而直到第二次才胜出,那么这件事发生的概率就是0.8×0.2=0.16。
那么第三次、第四次呢?

如果用p代表某件事发生的概率,则它不发生的概率为1-p,我们将此概率称为q,于是可以用下式计算任何具有这一性质的概率:
![]()
这个公式叫做概率的几何分布。变量X表示为了取得第一次成功所需进行的试验次数,为了在第r次试验时取得成功,首先要先失败r-1次。
几何分布同样适用于不等式。
P(X>r)指的是为了取得第一次成功需要试验r次以上的概率。为了让需要进行的试验次数大于r,意味着前r次试验必须以失败告终。也就是说,将失败概率乘上r次就是所求的概率:
![]()
利用这个,可以求出P(X≤r),即为了取得一次成功而需要尝试r次或r次以下的概率:
![]()
如果一个变量X的概率符合几何分布,且单次试验的成功概率为p,则可以写作:
![]()
几何分布的期望模式
在数学期望已知的情况下,就可以得出试验在成功之前需要试验的次数的期望值。
假设X~Geo(0.2),那么:

如果将xP(X=x)的累计总和画成图形:

将xP(X=x)的累计总和画成图形后,可以看出,随着x的变大,累计总和越来越接近一个特定数值:5。即:E(X)=5。
上式的意义很直观:单次试验的成功概率为0.2,则可以理解为试验5次中就有一次可能成功。
以上情况可以推而广之任意数值p。如果X~Geo(p),则:

二、二项分布
假设进行一项试验的成功的概率为0.25,那么连续进行三次试验,用X代表成功的次数,则P(X=0)、 P(X=1)、 P(X=2)、 P(X=3)分别为多少?

很明显能看出规律:x的值与0.25和0.75的幂次存在某种关系。
表中的结果可以用下式来归纳:

进而将此式推广到一般情况:
![]()
这类问题被称为二项分布,写作:
![]()
并且,只要X~B(n,p),则:

三、泊松分布
假如某台机器一周内发生故障的平均次数为3.4,那么下周这台机器不发生故障的概率有多大?
这一类问题的难点在于,尽管我们知道机器的每周平均故障次数,但实际的故障发生次数却是不固定的,如果倒霉的话,发生故障的次数就会多,如果幸运的话,一次故障都不会发生。这时就需要借助泊松分布来解决这一类问题。
泊松分布包含以下条件:
①单独事件在给定区间内随机、独立地发生;
②已知该区间内的事件平均发生次数(或发生率),且为有限数值。
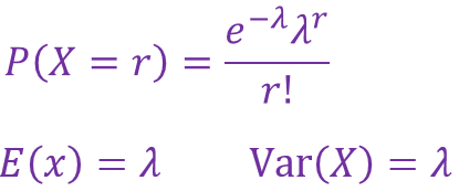
如果X符合泊松分布,且发生率为λ,则写作:
![]()
且:

回到刚才的问题,机器在下周不发生故障的概率为多少?
![]()
那么下周机器发生三次故障的概率:
![]()
如果X~Po (λx)且Y~Po (λy),则:
![]()
再来看下面这道问题:一个学生要参加一场考试,但他没有做任何复习。他需要猜测每一道题的答案,每一题答对的几率为0.05,考卷上共有50个问题,他答对5道题的概率是多少?
这是一道二项分布问题,但如果用二项分布求解,那么幂次会非常之大,计算起来很困难。
而当n很大且p很小时,可以用X~Po(np)近似代替X~B(n,p)。于是:
![]()
#转自知乎:
Q:泊松分布的现实意义是什么,为什么现实生活多数服从于泊松分布?
A:先说结论:泊松分布是二项分布n很大而p很小时的一种极限形式
二项分布是说,已知某件事情发生的概率是p,那么做n次试验,事情发生的次数就服从于二项分布。
泊松分布是指某段连续的时间内某件事情发生的次数,而且“某件事情”发生所用的时间是可以忽略的。例如,在五分钟内,电子元件遭受脉冲的次数,就服从于泊松分布。
假如你把“连续的时间”分割成无数小份,那么每个小份之间都是相互独立的。在每个很小的时间区间内,电子元件都有可能“遭受到脉冲”或者“没有遭受到脉冲”,这就可以被认为是一个p很小的二项分布。而因为“连续的时间”被分割成无穷多份,因此n(试验次数)很大。所以,泊松分布可以认为是二项分布的一种极限形式。
因为二项分布其实就是一个最最简单的“发生”与“不发生”的分布,它可以描述非常多的随机的自然界现象,因此其极限形式泊松分布自然也是非常有用的。
最后
以上就是老迟到咖啡最近收集整理的关于统计学:几何分布、二项分布、泊松分布一、几何分布二、二项分布三、泊松分布的全部内容,更多相关统计学内容请搜索靠谱客的其他文章。
发表评论 取消回复