直角坐标是常用的坐标法,但是对于一些特别的问题,在直角坐标系下处理就显得有点笨拙了。这个时候,不妨试试极坐标。它可以使得问题变得出乎意料的简洁,也能让问题直观和清晰起来。
关于极坐标的相关问题可参考《数学笔记27——极坐标下的面积》
极坐标的积分域
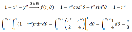
在上一篇文章的“积分边界”一节有这样一个例子: z = 1 – x2 – y2,如果约束 x2 + y2 ≤ 1且x ≥ 0,y ≥ 0,那么z的二重积分是什么?
R区是1/4圆:

现在我们尝试将其转换为极坐标来计算R区域,这将是半径r和夹角θ的函数:
在绝大部分情况下,我们会使用θ作为外积分,r作为内积分;同时很容易确定二者的积分域:

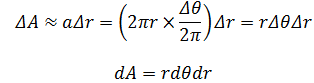
极坐标下的dA
还是使用黎曼和去解释积分,那么在极坐标下如何切割成小矩形?
如上图所示,阴影部分就是ΔA,这是个近似的矩形,设其宽度为Δr,长度近似于弧长:

这就是在极坐标下的dA,它不在简单地等于dθdr,所以上一节的正确答案应该是:

把原函数转换为极坐标后就可以计算积分了:

正态分布函数的积分
在概率论中经常使用正态分布函数,现在尝试求解它的积分:

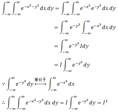
这是在单变量积分中很难计算的问题,只知道它最后将等于一个常数I。现在来看一个二重积分:

现在,问题变成了计算二重积分。貌似更复杂了,但是如果转换成极坐标,求解就会非常清晰。由于积分域是±∞,所以是对全空间的积分,因此可以将dr作为外积分。转换后的极坐标积分如下:

综合示例
示例1

R区域:
如果转换为极坐标,很容易判断θ的变换区域是0 ≤ θ ≤ π/4,需要计算的是r的积分域,如下图所示:


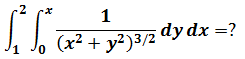
示例2

R区域:
如果转换为极坐标,很容易判断θ的变换区域是0 ≤ θ ≤ π/4,rmin = 0

rmax实际上是r关于θ的函数,由于r的另一端总在y = x2上,所以转换为极坐标后:

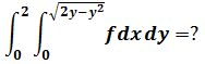
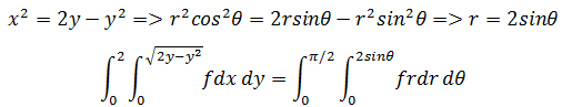
示例3

对于x的积分上限:

由此可见R区域是一个半圆。转换为极坐标后,0 ≤ θ ≤ π/2,rmin = 0,rmax是r关于θ的函数。


作者:我是8位的
出处:http://www.cnblogs.com/bigmonkey
本文以学习、研究和分享为主,如需转载,请联系本人,标明作者和出处,非商业用途!
扫描二维码关注公众号“我是8位的”

最后
以上就是甜美朋友最近收集整理的关于多变量微积分笔记9——极坐标下的二重积分极坐标的积分域极坐标下的dA正态分布函数的积分综合示例的全部内容,更多相关多变量微积分笔记9——极坐标下内容请搜索靠谱客的其他文章。
发表评论 取消回复