Toggle navigation
首页
博客
下载
AI
科技
互联网
会员
中心
会员中心
发布资讯
发布博文
发布资源
首页
文章中心
高等数学
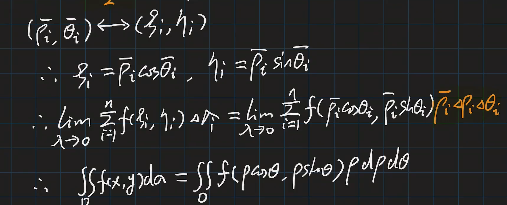
高等数学——利用极坐标计算二重积分
206 阅读
0 评论
136 点赞
我是
靠谱客
的博主
英勇耳机
,这篇文章主要介绍
高等数学——利用极坐标计算二重积分
,现在分享给大家,希望可以做个参考。
最后
以上就是
英勇耳机
最近收集整理的关于
高等数学——利用极坐标计算二重积分
的全部内容,更多相关
高等数学——利用极坐标计算二重积分
内容请搜索靠谱客的其他文章。
本图文内容来源于网友提供,作为学习参考使用,或来自网络收集整理,版权属于原作者所有。
点赞(
136
)
本文分类:
高等数学
浏览次数:
206
次浏览
发布日期:2023-11-26 00:10:05
本文链接:
https://www.kaopuke.com/article/k-p-k_13_u_23_o_10_f0_14__7__6_4.html
相关文章
二重积分转换成极坐标_二重积分转换极坐标r的范围如何确定?
极坐标下的二重积分
17.0.高等数学四-极坐标系下二重积分的计算问题引入
【狮子数学】chapter5-02-极坐标下二重积分的计算(第85讲)
高等数学——利用极坐标计算二重积分
多变量微积分笔记9——极坐标下的二重积分极坐标的积分域极坐标下的dA正态分布函数的积分综合示例
三重积分的计算
关于二重积分,三重积分的理解
评论列表
共有
0
条评论
发表评论
取消回复
登录
注册新账号
立即
投稿
返回
顶部
发表评论 取消回复