我是靠谱客的博主 传统小蘑菇,这篇文章主要介绍积分计算曲线围绕X轴旋转形成的立体体积,现在分享给大家,希望可以做个参考。

积分计算曲线围绕X轴旋转形成的立体体积


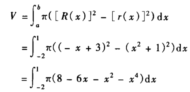
若曲线y=x^2+1和直线y=-x+3围成的区域,再绕X坐标轴旋转一周,形成一个立体,计算该立体的体积。
如图:


先计算出所要求的在X坐标轴的积分上下限为[-2,1]。仔细分析可知,外部的大圆半径为R(x)=-x+3,r(x)=x^2+1。大圆R(x)-r(x)即为实际围成的面积:

根据立体面积积分公式:
 
其中,A(x)为立体截面面积。
可知问题最终求解的体积为:


用matlab计算:

syms x f;      
f=pi*(8-6*x-x.^2-x.^4);
V=int(f,[-2,1])
 
V =
 
(117*pi)/5

体积为:(117*pi)/5 ,其中pi为π。

最后

以上就是传统小蘑菇最近收集整理的关于积分计算曲线围绕X轴旋转形成的立体体积的全部内容,更多相关积分计算曲线围绕X轴旋转形成内容请搜索靠谱客的其他文章。

本图文内容来源于网友提供,作为学习参考使用,或来自网络收集整理,版权属于原作者所有。
点赞(211)

评论列表共有 0 条评论

立即
投稿
返回
顶部