靠谱客3月17日消息,今日,百度正式发布文心大模型4.5和文心大模型X1,目前,两款模型已在文心一言官网上线,免费向用户开放。
同时,文心大模型4.5已上线百度智能云千帆大模型平台,企业用户和开发者登录即可调用API,文心大模型X1也即将在千帆上线。
百度搜索、文小言APP等产品,将陆续接入文心大模型4.5和文心大模型X1。
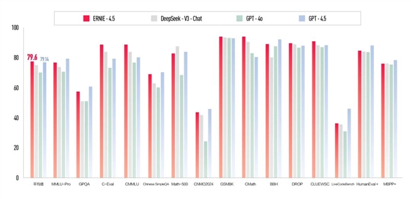
文心大模型4.5是百度首个原生多模态大模型,多模态理解、文本和逻辑推理能力提升,在多项测试中表现优于GPT4.5,API调用价格仅为GPT4.5的1%。

百度创始人李彦宏此前表示,文心大模型4.5将是百度有史以来最好的模型,希望用户和客户能够比以往更轻松地使用。


文心大模型X1为深度思考模型,性能对标DeepSeek-R1,并增加多模态、多工具调用能力,API调用价格约为R1的一半。
此前,百度曾宣布文心一言将于4月1日免费,本次发布,将免费时间提前。
据百度介绍,文心大模型4.5具备优秀的多模态理解能力,能对文字、图片、音频、视频等内容进行综合理解。
文心大模型X1兼备准确、创意和文采,在中文知识问答、文学创作、文稿写作、日常对话、逻辑推理、复杂计算及工具调用等方面表现尤为出色。
作为能自主运用工具的大模型,文心大模型X1已支持高级搜索、文档问答、图片理解、AI绘图、代码解释器、网页链接读取、TreeMind树图、百度学术检索、商业信息查询、加盟信息查询等多款工具。
(举报)
发表评论取消回复