题目链接地址:http://codeforces.com/problemset/problem/27/E
题意:给一个数
,求一个最小的正整数,使得它的因子个数为
。
分析:与求因子的方法类似,先建立搜索树,以每一个
为一层建立树型结构,进行搜索,取最小的
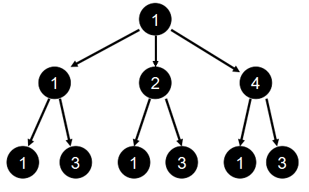
以
为例进行说明,建树如下:

可以看出从根节点到每一个叶子结点这条路径上的所有数字乘起来都是12的约数,所以12有6个约数。
搜索的思路就明显了,从根节点开始进行深搜,到叶子结点,代码如下:
void dfs(int dept,LL ans = 1) { if(dept == cnt) { fac[ct++] = ans; return; } for(int i=0;i<=num[dept];i++) { dfs(dept+1,ans); ans *= pri[dept]; } }
转载于:https://www.cnblogs.com/Fy1999/p/9016364.html
最后
以上就是优美水壶最近收集整理的关于codeforce E. Number With The Given Amount Of Divisor的全部内容,更多相关codeforce内容请搜索靠谱客的其他文章。
本图文内容来源于网友提供,作为学习参考使用,或来自网络收集整理,版权属于原作者所有。
发表评论 取消回复