使用一种新的光照增强算法的夜间图像增强-论文《Nighttime image enhancement using a new illumination boost algorithm》
这篇夜间图像增强的论文比较简单,所以直接进行算法的解释。
算法步骤如下:
1、该算法的主要目的是从各种光照分布不均匀和整体黑暗外观等特点的退化夜间图像中恢复出可接受的质量结果。总的来说,该算法改进了局部对比度,增强了低、中强度像素,同时避免了高强度像素的极度增加。当这两个特性处理得当时,颜色最终会以更好的方式出现。该算法利用了不同的处理概念,获得了理想的结果。因此,它首先用对数缩放函数处理输入图像。该函数用于估计人类视觉系统的视网膜所实现的转换。这个函数是用下面的方程计算的:

其中X是输入的彩色图像,I1从对数缩放函数得到的图像,*是乘法运算符。
2、接下来,输入图像X再次由一个非复杂图像处理指数函数来修改局部对比度和衰减输入图像的高强度。这个函数是用下面的方程计算的:

I2的利用指数函数得到的图像。
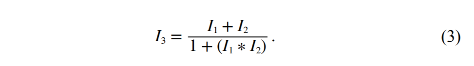
3、I1图像和I2图像使用合适的LIP模型组合起来。因此,存在不同的LIP模型来结合两幅数字图像的特点。所使用的LIP模型可以计算如下:

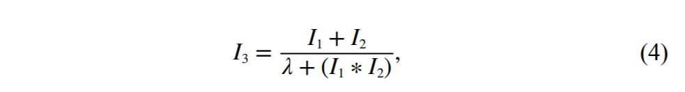
为了使用上述LIP模型达到最佳性能,它被适应于所使用图像的性质。本算法中所使用的LIP模型采用如下公式进行计算:

其中λ为控制增强过程的标量,在增强过程中加入λ以避免产生不合适的像素值。
4、在这一点上,图像I3同时具有图像I1和I2的特性。 尽管如此,图像I3的整体亮度较低,因此需要进一步增强,使得大多数潜像细节均正确显示。因此,使用修正的双曲正割分布的累积分布函数(CDF-HSD)来提高整体亮度。 标准HSD在概率和统计领域是众所周知的功能。 此方法的CDF是一种S曲线函数,可用于调整亮度和对比度。 使用以下公式计算标准CDF-HSD:

为了使该函数的性能达到最佳,对其进行了改进,以提高其在改善暗图像区域亮度方面的能力。修改后的CDF-HSD计算如下:

5、其中I4是来自修改后的CDF-HSD方程的结果图像。 进行的修改在提高亮度方面明显有助于提高功能的处理效率。首先,增加误差函数(erf)来增加CDF-HSD方程的曲线变换,这对提高暗图像区域的亮度非常有利。利用λ代替π/2来控制增强量,增强量应满足2≤λ≤7,数值越高,输出图像的亮度越高。再减去0.5 × I3的值帮助调整图像的色调,使其看起来与观察到的场景非常相似。尽管如此,图像I4的像素分布仍然限制在特定的动态范围内,并且从该步骤得到的图像看起来非常白。 因此,应用归一化函数来线性缩放像素值以适合标准范围。 使用的归一化函数计算如下:

I5是所提算法的最终结果。
matlab代码:
function [I5] = illumination_boost(X, lambda)
% Parameters:
% X: RGB Image
% lambda: Factor used in the equations I3 and I4
%% Convert image to double, even if it is already a double
X = im2double(X);
I1 = (max(max(max(X))) ./ log(max(max(max(X))) + 1)) .* log(X + 1);
I2 = 1 - exp(-X);
I3 = (I1 + I2) ./ (lambda + (I1 .* I2));
I4 = erf(lambda * atan(exp(I3)) - 0.5 * I3);
I5 = (I4 - min(min(min(I4)))) ./ (max(max(max(I4))) - min(min(min(I4))));
end
%%
clc
clear
I=im2double(imread('00.png'));
lambda=5;
out_image = illumination_boost(I, lambda);
figure;imshow([I out_image]);
低照度图像增强结果



最后
以上就是自信八宝粥最近收集整理的关于使用一种新的光照增强算法的夜间图像增强的全部内容,更多相关使用一种新内容请搜索靠谱客的其他文章。
发表评论 取消回复