前言

复值函数

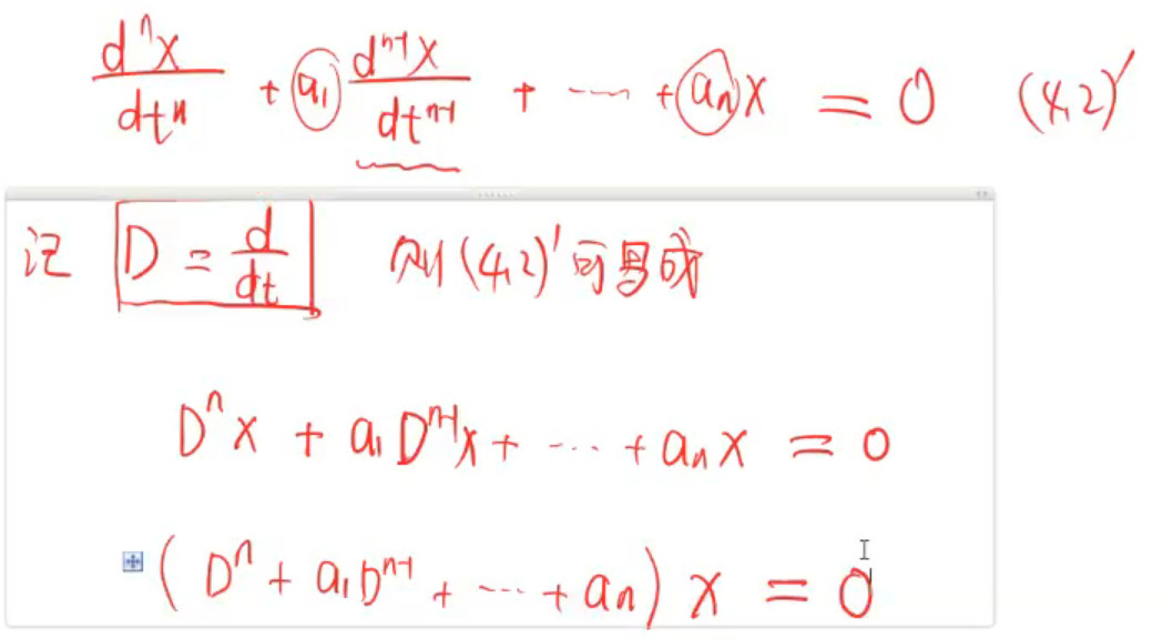
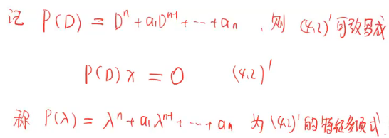
常系数线性方程



法则
法则1

法则2

例题



最后
以上就是文静香水最近收集整理的关于常微分方程——常系数线性微分方程前言复值函数常系数线性方程法则例题的全部内容,更多相关常微分方程——常系数线性微分方程前言复值函数常系数线性方程法则例题内容请搜索靠谱客的其他文章。
本图文内容来源于网友提供,作为学习参考使用,或来自网络收集整理,版权属于原作者所有。










以上就是文静香水最近收集整理的关于常微分方程——常系数线性微分方程前言复值函数常系数线性方程法则例题的全部内容,更多相关常微分方程——常系数线性微分方程前言复值函数常系数线性方程法则例题内容请搜索靠谱客的其他文章。
发表评论 取消回复