文章目录
- 1.1 概率空间
- 1.2 随机变量
- 1.3随机变量函数的分布
- 1.4随机变量的数字特征
- 1.5随机过程的定义和统计描述
- 1.6 随机过程分布律和数字特征
- 1.7 复随机过程
- 1.8 随机过程基本类型
随机过程是描述信息与工程领域中各种 随机现象的基本 数学模型和 统计规律性。
1.1 概率空间
-
随机试验

-
样本空间

-
事件

Ω 中 的 元 素 e 为 样 本 点 / 基 本 事 件 。 Omega中的元素e为样本点/基本事件。 Ω中的元素e为样本点/基本事件。
样 本 空 间 Ω 称 为 必 然 事 件 , 空 集 ϕ 称 为 不 可 能 事 件 。 样本空间Omega称为必然事件,空集phi称为不可能事件。 样本空间Ω称为必然事件,空集ϕ称为不可能事件。 -
事件运算

-
古典概率

-
几何概率

-
统计概率

-
概率的公理化定义

-
概率空间


-
条件概率

-
全概率

-
贝叶斯公式

-
独立事件

1.2 随机变量
- 定义

- 离散型随机变量

- 连续型随机变量

- 分布函数及其性质

- 离散分布列(律)

- 用分布列(律)描述离散型随机变量的概率分布

- 概率密度函数

- 用概率密度描述连续性随机变量的概率分布

1.3随机变量函数的分布
- 定义及概率密度


- 联合分布函数

- 边际分布

- 相互独立的随机变量

- 条件分布函数

1.4随机变量的数字特征
- 统计平均与数学期望

- 随机变量函数的数学期望值

- 方差与协方差
K 阶 原 点 矩 与 K 阶 中 心 矩 K阶原点矩与K阶中心矩 K阶原点矩与K阶中心矩


协方差、相关系数

- 特征函数

- 独立与不相关


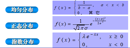
- 常见分布的期望、方差、特征函数

- 总结

1.5随机过程的定义和统计描述
自然界事物的变化过程分为两大类:
- 具有确定形式的过程,可以用一个时间t的确定函数来描述。
- 无确定的变化形式,不能用一个时间t的确定函数来描述。
- 随机过程
我们必须对一些随机现象的变化过程进行研究,必须考虑无穷多个随机变量。针对这个问题,我们必须用一族随机变量才能刻画这种随机现象的全部统计规律。我们通常将随机变量族称为随机过程。


- 对于随机过程的理解

- 分类




1.6 随机过程分布律和数字特征
- 随机过程的一维分布函数

- 随机过程的二维分布函数

- n维

- 有限维分布函数族

- 有限维分布函数的性质:

- 存在性

- 均值函数

- 均方值函数和方差函数

- 自相关函数

- 协方差函数

- 互协方差函数和互相关函数

- 相互独立、互不相关、相互正交

1.7 复随机过程
- 定义

- 数字特征

- 复随机过程的互相关函数、互协方差函数

1.8 随机过程基本类型

最后
以上就是拼搏超短裙最近收集整理的关于随机过程(一)基础概念与随机过程基本类型的全部内容,更多相关随机过程(一)基础概念与随机过程基本类型内容请搜索靠谱客的其他文章。
发表评论 取消回复