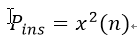
(1)首先计算已知信号序列(采样之后得到的信号)的平均功率。该序列在第n个点处的功率为:

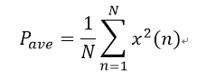
如果已知的信号序列中的总共的点数为N个,则该序列的平均功率为:

在MATLAB中求平均功率的方法是:
Pav=sum(x.^2)/length(x);
(2)第二步是求单个符号的能量。能量的定义是功率乘以时间。对于单个符号来说,因为已经被采样了,每个符号可能对应多个采样点。因此,此处需要已知符号速率。
每个符号的能量为:

在MATLAB中求单位符号能量的方法是:
Eb=sum(x.^2)/(length(x)*fb);
(3)第三步是求噪声的单边功率谱密度。根据Eb/N0即可,注意首先要把dB转化为实际的倍数。若已知的Eb/N0是dB单位的,则转化过程如下:
ebn0=10^((EbN0)/10);
随后得到n0:
n0=Eb/ebn0;
(4)第四步是根据噪声的单边功率谱密度求噪声的方差。对于实信号来说,如果信号的采样频率是fs,则噪声带宽为采样频率的一半。噪声的方差即为噪声的平均功率,噪声的平均功率是单边功率谱密度和噪声带宽的乘积,因此噪声的方差为:

MATLAB中的计算过程:
pn=n0*fs/2;(从实际仿真的结果来看,乘以fs是符合理论值的,该内容需要进一步核实)
(5)第五步即生成噪声序列。
NOISE=sqrt(pn)*randn(1,length(x));
【怕自己要用找不到了,侵权必删!】
最后
以上就是壮观石头最近收集整理的关于【MATLAB】对离散采样信号添加高斯白噪声(已知Eb/N0)的全部内容,更多相关【MATLAB】对离散采样信号添加高斯白噪声(已知Eb/N0)内容请搜索靠谱客的其他文章。
本图文内容来源于网友提供,作为学习参考使用,或来自网络收集整理,版权属于原作者所有。
发表评论 取消回复