在学习或工作中总需要搞清楚雷达基础参数的计算,下面给出一些案例供大家参考。
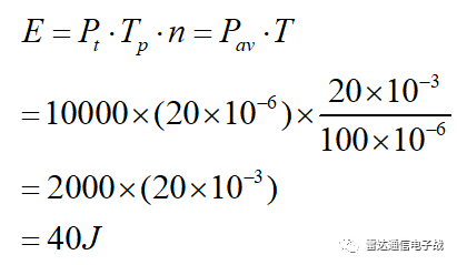
1,计算平均发射功率,脉冲重复间隔,脉冲宽度,在20ms内的辐射能量?
2,计算最大无模糊距离?
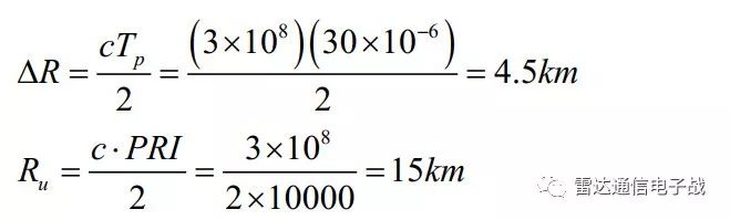
3,计算对应的距离分辨率和带宽?
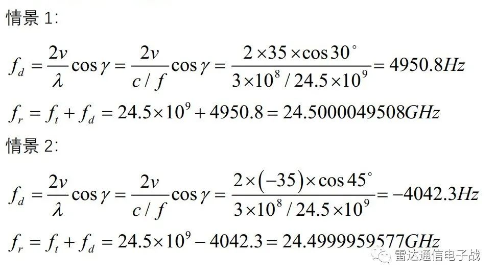
1,计算情景(1)下的多普勒频率和雷达接收回波信号的频率?
2,如果该汽车远离雷达站并且夹角为45°(情景2),重新计算多普勒频率和雷达接收回波信号的频率?v=126km/h=126000m/3600s=35m/s;
1,计算到达地球表面的功率密度?
2,计算信号从宇宙飞船到达地球表面的时间?
3,计算地球表面一个直径为1m的天线接收到的功率(假设传输无损耗)?
当接收到的回波功率等于最小可检测信号时,雷达达到最大作用距离。
其中F为噪声系数,也就是接收机输入端信号噪声比与输出端信噪比的比值,表示由于接收机内部噪声产生的影响。T0为室温290K。理想情况下F=1,由于热噪声的存在实际情况总不会理想,题中给出等效噪声温度为600K。这里也默认了噪声带宽与信号的半功率带宽一样。
这个最小可检测信号功率即接收机的灵敏度,为了提高接收机灵敏度,就是要减少最小可检测信号功率,具体的方法有:1. 降低接收机的总噪声系数,也就是降低等效噪声温度,可采用高增益、低噪声高频放大器;2. 接收机的中频放大器采用匹配滤波,以便在白噪声背景下能输出最大信噪比;3. 另外检测方法也会影响对信噪比的最低要求。
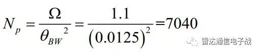
题中给出的立体弧度Ω=1.1,可以推算出角度覆盖范围(已转换为角度,弧度不直观,准确来说应该是60°x60°的区域):
这里给定的条件是搜索雷达,先将搜索过程理想化,在特定的时间段内,发射波束通过扫描或连续照射来搜索一个扇区,这样雷达的时间和能量资源都会受到限制。假设波束不叠加,覆盖搜索范围需要的天线波束数量为:
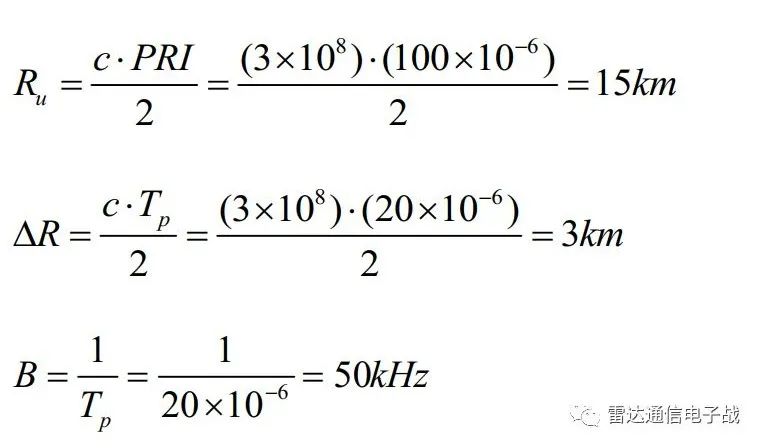
由于这里采用的是无调制的脉冲信号,距离分辨率和无模糊距离为:
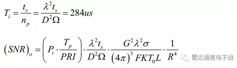
搜索率2s,说明完成Np个波束的时间是2s,每个波束的驻留时间:
参数太多,用Matlab来计算,方便修改参数,还可画出关系图。当输出信噪比为10dB时,计算出的最大探测距离为73.1km。
发射功率,探测距离,距离分辨率
假设一部低PRF雷达的脉冲重复频率PRF=10kHz,辐射的峰值功率为Pt=10kW,占空比duty=20%。
1,计算平均发射功率,脉冲重复间隔,脉冲宽度,在20ms内的辐射能量?
2,计算最大无模糊距离?
3,计算对应的距离分辨率和带宽?
多普勒频率
假设一部警用K波段雷达的工作频率24.5GHz,一辆汽车以126km/h的速度向该警用雷达站驶来,汽车的速度矢量方向与雷达有一个30°的夹角(情景1)。
1,计算情景(1)下的多普勒频率和雷达接收回波信号的频率?
2,如果该汽车远离雷达站并且夹角为45°(情景2),重新计算多普勒频率和雷达接收回波信号的频率?v=126km/h=126000m/3600s=35m/s;
接收功率
假设月球轨道上的宇宙飞船(轨道距离3.8×108米)采用L波段雷达,天线工作频率3000MHz,平均发射功率是Pav=3MW(各向同性)。
1,计算到达地球表面的功率密度?
2,计算信号从宇宙飞船到达地球表面的时间?
3,计算地球表面一个直径为1m的天线接收到的功率(假设传输无损耗)?
输出信噪比
低PRF的C波段雷达工作频率为6.0GHz,抛物面天线直径2m,发射脉冲串的峰值功率为1MW,脉冲宽度2us,PRF是250Hz。假设等效噪声温度为600K,总的信号损失为20dB,目标的RCS为10m2,请计算: 1,最大无模糊距离(Ru); 2,当目标在最大无模糊距离一半的位置时,求接收机的输出信噪比。目标距离为R时,雷达接收到的回波功率:
当接收到的回波功率等于最小可检测信号时,雷达达到最大作用距离。
其中F为噪声系数,也就是接收机输入端信号噪声比与输出端信噪比的比值,表示由于接收机内部噪声产生的影响。T0为室温290K。理想情况下F=1,由于热噪声的存在实际情况总不会理想,题中给出等效噪声温度为600K。这里也默认了噪声带宽与信号的半功率带宽一样。
接收机灵敏度
在噪声背景下检测目标,接收机输出端的信噪比要达到所需的数值,这个最低要求决定了输入端的最小可检测信号,从而确定了最大探测距离。也就是说目标距离如果超过了该距离,雷达虽然可能也接收到了回波信号,但是雷达已经检测不出该目标了。
这个最小可检测信号功率即接收机的灵敏度,为了提高接收机灵敏度,就是要减少最小可检测信号功率,具体的方法有:1. 降低接收机的总噪声系数,也就是降低等效噪声温度,可采用高增益、低噪声高频放大器;2. 接收机的中频放大器采用匹配滤波,以便在白噪声背景下能输出最大信噪比;3. 另外检测方法也会影响对信噪比的最低要求。
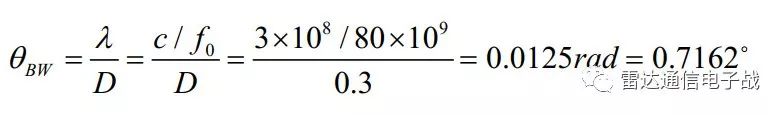
毫米波雷达
假设有一个毫米波雷达工作频率80GHz,峰值发射功率为7.5kW,脉冲宽度30us,PRF为10kHz,噪声系数F=5dB,天线直径D=0.3m,目标RCS大小为2m2,雷达搜索率2s,搜索立体角为Ω=1.1 steradian,系统损耗10dB,计算:1,天线波束宽度和角度覆盖范围;2,覆盖搜索范围需要的天线波束数量;3,距离分辨率和无模糊距离;4,每个波束的驻留时间;5,输出信噪比与最大作用距离的关系,以及当信噪比为10dB时的最大距离;天线3dB波束宽度用以下公式计算:
题中给出的立体弧度Ω=1.1,可以推算出角度覆盖范围(已转换为角度,弧度不直观,准确来说应该是60°x60°的区域):
这里给定的条件是搜索雷达,先将搜索过程理想化,在特定的时间段内,发射波束通过扫描或连续照射来搜索一个扇区,这样雷达的时间和能量资源都会受到限制。假设波束不叠加,覆盖搜索范围需要的天线波束数量为:
由于这里采用的是无调制的脉冲信号,距离分辨率和无模糊距离为:
搜索率2s,说明完成Np个波束的时间是2s,每个波束的驻留时间:
参数太多,用Matlab来计算,方便修改参数,还可画出关系图。当输出信噪比为10dB时,计算出的最大探测距离为73.1km。
基础知识科普
前沿技术跟踪
专业知识服务
雷达通信电子战
最后
以上就是能干彩虹最近收集整理的关于天线覆盖距离计算工具_搞清雷达基础参数的计算的全部内容,更多相关天线覆盖距离计算工具_搞清雷达基础参数内容请搜索靠谱客的其他文章。
本图文内容来源于网友提供,作为学习参考使用,或来自网络收集整理,版权属于原作者所有。
发表评论 取消回复