我是靠谱客的博主 幽默小懒猪,这篇文章主要介绍天线覆盖距离计算工具_雷达基础知识:案例理解“雷达作用距离”案例四接收机灵敏度案例五,现在分享给大家,希望可以做个参考。

点击查看:《雷达基础知识:案例计算》,其中出现了2处错误和1处存疑的地方,非常感谢用户的留言提醒。在此加以说明:

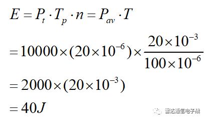
首先是单位的换算,126km/h=35m/s,具体是126000m/3600s=35m/s;其次是“案例一”中计算20ms内的辐射能量,这里单位是ms,不是us,因此需要用平均功率乘以该时间,或者用单个脉冲的能量乘以该时间包含的脉冲数。具体修改如下:

1a2ff50fb511c747411571a412501b4a.png

最后一个疑问是:“案例三”中计算天线接收功率时是否需要再乘以天线增益G?这个问题供大家思考后留言讨论,这样可以加深大家的思考深度。

今天继续以案例的方式,通过计算和讨论,来帮助大家理解雷达的最大探测距离等相关内容。内容会更新到文档中,包括之前错误之处也已修改。

若有其他疑问也可留言告知。由于公式无法直接放入文章,因此以图片形式给出,今日给我们“雷达通信电子战”微信公众号发送“190620”可获得文档的PDF阅读版。铁杆会员可下载WORD可编辑版,其中公式用Mathtype编辑,图片用Visio编辑,可自行编辑。

案例四

低PRF的C波段雷达工作频率为6.0GHz,抛物面天线直径2m,发射脉冲串的峰值功率为1MW,脉冲宽度2us,PRF是250Hz。假设等效噪声温度为600K,总的信号损失为20dB,目标的RCS为10m2,请计算:

1,最大无模糊距离(Ru);

2,当目标在最大无模糊距离一半的位置时,求接收机的输出信噪比。

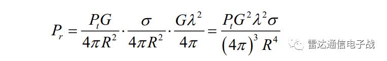
目标距离为R时,雷达接收到的回波功率:

2475ce3e1cb593301b82ab9d02745469.png

当接收到的回波功率等于最小可检测信号时,雷达达到最大作用距离。

8329ab218b19bac3f8ea7c3a07fc0774.png

其中F为噪声系数,也就是接收机输入端信号噪声比与输出端信噪比的比值,表示由于接收机内部噪声产生的影响。T0为室温290K。理想情况下F=1,由于热噪声的存在实际情况总不会理想,题中给出等效噪声温度为600K。这里也默认了噪声带宽与信号的半功率带宽一样。

0468086fe1e8c7786e6b86e9bc1bde87.png

接收机灵敏度

在噪声背景下检测目标,接收机输出端的信噪比要达到所需的数值,这个最低要求决定了输入端的最小可检测信号,从而确定了最大探测距离。也就是说目标距离如果超过了该距离,雷达虽然可能也接收到了回波信号,但是雷达已经检测不出该目标了。

a22df40cf1634c8ecfacaa3203f1373c.png

这个最小可检测信号功率即接收机的灵敏度,为了提高接收机灵敏度,就是要减少最小可检测信号功率,具体的方法有:

1. 降低接收机的总噪声系数,也就是降低等效噪声温度,可采用高增益、低噪声高频放大器;

2. 接收机的中频放大器采用匹配滤波,以便在白噪声背景下能输出最大信噪比;

3. 另外检测方法也会影响对信噪比的最低要求,这个以后再讨论吧。

案例五

假设有一个毫米波雷达工作频率80GHz,峰值发射功率为7.5kW,脉冲宽度30us,PRF为10kHz,噪声系数F=5dB,天线直径D=0.3m,目标RCS大小为2m2,雷达搜索率2s,搜索立体角为Ω=1.1 steradian,系统损耗10dB,计算:

1,天线波束宽度和角度覆盖范围;

2,覆盖搜索范围需要的天线波束数量;

3,距离分辨率和无模糊距离;

4,每个波束的驻留时间;

5,输出信噪比与最大作用距离的关系,以及当信噪比为10dB时的最大距离;

天线3dB波束宽度用以下公式计算:

b78abc2dcb605014c32f2a99a661e7b5.png

题中给出的立体弧度Ω=1.1,可以推算出角度覆盖范围(已转换为角度,弧度不直观,准确来说应该是60°x60°的区域):

0f52e64f09241eed5ef07049c29cecb9.png

这里给定的条件是搜索雷达,先将搜索过程理想化,在特定的时间段内,发射波束通过扫描或连续照射来搜索一个扇区,这样雷达的时间和能量资源都会受到限制。假设波束不叠加,覆盖搜索范围需要的天线波束数量为:

797bda9a6ad50dbb06aef6a98a0dc88c.png

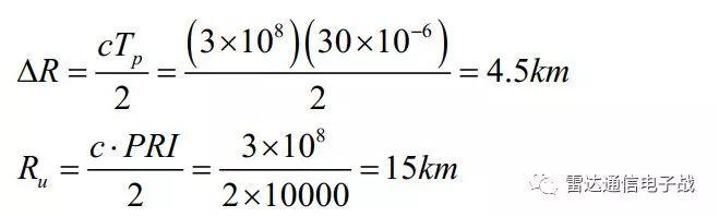
由于这里采用的是无调制的脉冲信号,距离分辨率和无模糊距离为:

93815b7c92320958f047f337b5ac1b93.png

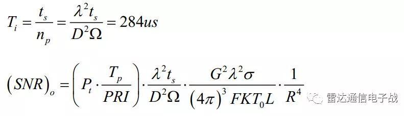
搜索率2s,说明完成Np个波束的时间是2s,每个波束的驻留时间:

681cbd2bf184e132a1328777f46e25e1.png

参数太多,用Matlab来计算,方便修改参数,还可画出关系图。当输出信噪比为10dB时,计算出的最大探测距离为73.1km

f0b833eb2b89f292d0de26557209714d.png

今日给“雷达通信电子战”微信公众号发送“190620”可获得PDF阅读版(含代码)。本文档会持续更新更多案例计算,铁杆会员可获得WORD可编辑版和代码的m文件。公式全部用Mathtype编辑,图片用Visio编辑,均可更改。

微信公众号“雷达通信电子战”,更多精彩等着你!

最后

以上就是幽默小懒猪最近收集整理的关于天线覆盖距离计算工具_雷达基础知识:案例理解“雷达作用距离”案例四接收机灵敏度案例五的全部内容,更多相关天线覆盖距离计算工具_雷达基础知识内容请搜索靠谱客的其他文章。

本图文内容来源于网友提供,作为学习参考使用,或来自网络收集整理,版权属于原作者所有。
点赞(175)

评论列表共有 0 条评论

立即
投稿
返回
顶部