我们知道,地球是圆的,假设地球半径为R,发射端天线高度为Ht,接收端天线高度为Hr,那么如下图,

在理想情况下直线传播可得到传播距离为d=3.57×(√Ht+√Hr) (Km)。但是在实际应用中,超过极限距离的地方也能收到较强信号,这种现象称为超视距传播,这样现象实际上只因为大气折射造成的,即实际的无线电传播也并非完全直线传播。超视距的传播距离为d=4.12×(√Ht+√Hr) (Km)。我们实际计算理论计算主要使用的是该公式获得极限传播距离。
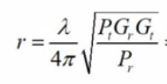
比如发射端天线的高度为2m,接收端天线高度为1m,那么两者时间的无线传播极限距离为9.9Km。极限距离决定了无线传播的上限,这与我们前面章节说的弗里斯传输方程需要配合使用,根据弗里斯距离方程,
我们传播距离的提升可以通过增大发射功率、增大天线增益、提升接收灵敏度(也就是方程中的Pr值减小)实现,但是如果该值已经超过了我们的极限距离,那么就需要通过增加发射端或接收端天线的高度来实现了。
实际应用中,明明接收端灵敏度很高,链路预算也很平坦,并且跑到了郊外平坦的环境测试,但是最后的测试结果远小于预期,就是因为没有考虑地球是圆的,存在极限传输距离的问题
最后
以上就是怡然翅膀最近收集整理的关于无线电极限传播距离计算的全部内容,更多相关无线电极限传播距离计算内容请搜索靠谱客的其他文章。
本图文内容来源于网友提供,作为学习参考使用,或来自网络收集整理,版权属于原作者所有。
发表评论 取消回复