文章目录
- 1 信道的概念
- 2 信道的特性(难点)
- 3 信道的容量
写在前面:本文源自笔者在大三时对北师大-人工智能学院-郭俊奇老师的“通信原理”课程的部分归纳与整理笔记。此处感谢郭俊奇老师!如发现笔者整理有误之处请在评论区多多指正!
1 信道的概念
1)信道的定义:连接发送端和接收端通信设备之间的传输媒介,信号传输的通道
2)信道的分类:
① 按传输媒介分类:
- 有线信道:明线、电缆(对称电缆、同轴电缆)、光纤
- 无线信道:地面波、短波电离层反射、视距中继、散射传播、移动、卫星
② 按限定范围分类:
- 狭义信道:物理传输介质
- 广义信道:调制信道、编码信道、时间信道(存储信道)
③ 按传输信号分类:
- 模拟连续信道
- 离散数字信道
2 信道的特性(难点)
1)恒参信道:信道参数在通信过程中基本不随时间变化的信道。如有线信道和部分无线信道(微波视距中继、卫星链路等)
理想恒参信道特性:信号传输无失真(幅频特性在全频率范围内是一条水平线,相频特性在全频率范围内是一条通过原点的直线,斜率为-td)
2)随参信道:信道参数随时间变化的信道。如部分无线信道(短波电离层反射、地面波、散射信道、移动通信等)
① 随参信道特性:
- 信号的传输幅度衰减随时间而变化
- 信号的传输时延随时间而变化
- 信号经过多条路径到达接收端,各路径的引起的幅度衰减和时延均不同,且均随时间而变化,即出现多径传输现象
△ 多径衰落信道的等效低通冲激响应(重点):
当存在大量路径时,即N趋于无穷时,根据中心极限定理:大量独立同分布随机变量之和的分布趋于高斯分布,因此多径衰落信道的等效低通冲激响应h满足:
1)建模为零均值的复高斯随机过程;
2)其包络服从rayleigh(瑞利)分布;
3)其相位服从均匀分布;
4)该信道被称为rayleigh(瑞利)衰落信道
② 信道的平坦衰落和频率选择性衰落
- 频率非选择性衰落(平坦衰落):信号带宽 < 相干带宽
- 频率选择性衰落:信号带宽 > 相干带宽
③ 信道频谱展宽:多普勒(Doppler)频移

④ 信道的慢衰落和快衰落
- 慢衰落:符号周期 < 相干时间
- 快衰落:符号周期 > 相干时间
△ 多径衰落信道的四种衰落特性归纳(重点):

△ 描述衰落信道的4个一维函数:

3 信道的容量
1)信息的定义:(香农给出的定义是)不确定性的减小
2)熵的定义:用随机变量X来描述信息,设X是一个离散随机变量,它可以取M个可能值{x1,x2,…,xm},设X取xi的概率为p(xi),则把X的平均不确定性(即熵)定义为:

3)互信息:

4)离散无记忆信道的容量:

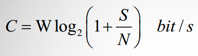
5)带宽有限、平均功率有限的高斯白噪声连续信道的容量:

其中S为信号平均功率,N为噪声功率,W为信道带宽。
设噪声单边功率谱密度为N0,即N = N0*W,则带宽有限、平均功率有限的高斯白噪声连续信道的容量可以表示为:
① 当信号功率S趋于无穷大时,连续信道的容量趋于无穷大;
② 当噪声功率N趋于零时,连续信道的容量趋于无穷大;
③ 当信号带宽W趋于无穷大时,连续信道的容量等于
6)频带效率

若传输速率R满足:R<=C时,则存在一种编码方式,使得错误率趋于零
最后
以上就是清新店员最近收集整理的关于通信原理:课程学习笔记2之通信信道(信道的概念、特性、容量等)1 信道的概念2 信道的特性(难点)3 信道的容量的全部内容,更多相关通信原理:课程学习笔记2之通信信道(信道的概念、特性、容量等)1内容请搜索靠谱客的其他文章。



发表评论 取消回复