蓝牙5.1到达角和离开角技术(aoa/aod)
蓝牙到达角和离开角是新兴技术,可用于跟踪资产以及室内定位及寻路
基于相位的测向系统需要天线阵列,正确的天线阵列和算法设计对于RTLS系统必不可少,为了运行算法需要RF开关/多通道,ADC处理的能力,出色的DoA算法通常在计算上并不便宜。
其他比较技术包括基于RSSI的定位系统和到达时间
原理
到达角
在“到达角”中,被跟踪设备正在使用1根天线发送特殊的信标信号接收的设备被称为定位器
将多个天线排列成阵列,依次切换当前活动的天线时,从接收到的信号进行IQ采样
根据输入数据计算到达角估计值
由于到天线的视线距离不同接收阵列中的天线(理论上)将看到相位差

一个IQ样本是一对同相和正交相的样本。
AoA计算算法接收IQ数据并计算到达角的估计值。
在蓝牙中,与定位有关的控制数据通过传统数据通道传输。

离开角
在“离开角”中,测量相位差的基本思想是相同的,只是设备角色互换了。被跟踪的设备仅使用一根天线而信标设备使用多个天线。
从应用角度看,到达角的根本区别是:
AoD:接收设备可以使用来自多个信标及其位置的角度来计算自己在空间中的位置。
在AoA中时:接收设备通过单个对象来跟踪到达角度当然各种组合都是可行的,与此同时测量RSSI 来计算距离,我们将获得更多的可能性,预期精度可以在半米左右

应用
(AoA–停车场寻车)连接汽车要求汽车发送窄带信号,使用天线阵列对接收到的信号进行IQ采样,将IQ数据馈入到达方向算法以获取角度估计上车
(AoD–走出购物中心)打开带有购物中心地图的手机应用,接收购物中心中安装的多个固定位置信标信号,对来自自已已知位置的信标进行IQ采样,使用角度估计和信标设备位置计算我自己的位置
如何基于采样数据计算角度估计值
多径
如果一个信号是另一个信号的延迟和缩放版本,则两个信号是相干的,在室内时,可能会有多次反射,即接收设备会看到原始入射信号的相干反射来自其他角度的信号
极化
无法控制移动设备的方向
信号噪声,时钟抖动,信号传播延迟,切换时序
信号错误会影响估计的准确性
嵌入式RAM / CPU性能设备
某些数据需要缓冲以进行计算,估计算法占用大量CPU
天线阵列大小限制
其他定位技术
RSSI(接收信号强度指示器)
测量接收信号的强度以获得距离近似值
基于从不同点进行的多个距离测量得出的三边形位置
每个设备仅需要一根天线
通常在室内不太精确
ToA / ToF(到达时间)/飞行时间),TDoA(到达时间差)
测量旅行时间和三边形率,在ToA中,所有设备都是时间同步的。在TDoA中,仅接收站是时间同步的。每个设备仅需要一根天线,对非常高的时间分辨率/时钟的要求
天线阵列
天线阵列在到达方向(DoA)系统中起着重要作用,阵列通常分为不同的类别,并且具有不同的属性和性能,最常见的是:均匀线性阵列– ULA,均匀矩形阵列– URA,均匀圆形阵列– UCA
方位角与仰角
算法通常需要阵列几何的某些属性才能正常工作

到达理论
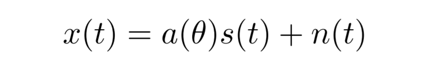
估计到达接收阵列的发射(窄带)信号的到达角,给定阵列中每个天线的IQ样本数据集。设数据向量为x假设信号要进行相移并按比例缩放正弦(窄带)信号

其中a是天线阵列的数学模型,即所谓的阵列控制向量。术语s是入射信号,而n是噪声项,我们可以通过下图公式来计算所谓的样本协方差矩阵Rxx

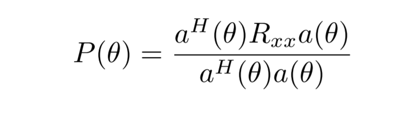
样本协方差矩阵将用作估计器算法的输入
让我们考虑所谓的常规(Bartlett)波束形成器来解决DoA问题,统一线性阵列的想法,为ULA制定转向矢量a

使用导向向量a和协方差矩阵Rxx计算所谓的空间频谱,尽管此方法非常简单,但其结果可能会更好

一种基于子空间的估计器算法,该类别中一种流行的算法称为MUSIC,该算法是对Rxx(协方差矩阵)进行特征分解:

其中A是一个包含特征值的对角矩阵,而V包含Rxx的相应特征向量。在V的帮助下,我们计算了所谓的伪谱:

其中a是天线阵列的转向矢量
最后一步是找到伪频谱的最大峰,该峰对应于到达角
二维伪频谱的示例,其中发送方位于方位角= 50且仰角= 45

相干信号是有问题的,并且会混淆估计器算法
伪频谱显示了不正确角度的峰值
解决方案:多径“滤波”,也就是空间平滑
计算协方差矩阵的子阵列平均值
在二维情况下,定义了空间平滑:

这将减小协方差矩阵的大小,但会“分离”相干信号

最后
以上就是高贵裙子最近收集整理的关于蓝牙5.1到达角和离开角定位技术(aoa/aod)的全部内容,更多相关蓝牙5内容请搜索靠谱客的其他文章。
发表评论 取消回复