关于控制理论的学习是长期的,时常就得拿出来复习一下,不然就忘记了,在去年的学习工作中发现了自身理论知识的匮乏,因此在今年会重新拿出来复习一下控制理论,巩固自己的知识储备。
总体步骤:
关于状态观测器的设计,可以按照一下几个基本步骤来设计:
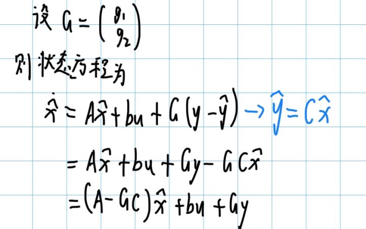
1)引入反馈矩阵G,列出状态观测器的状态方程
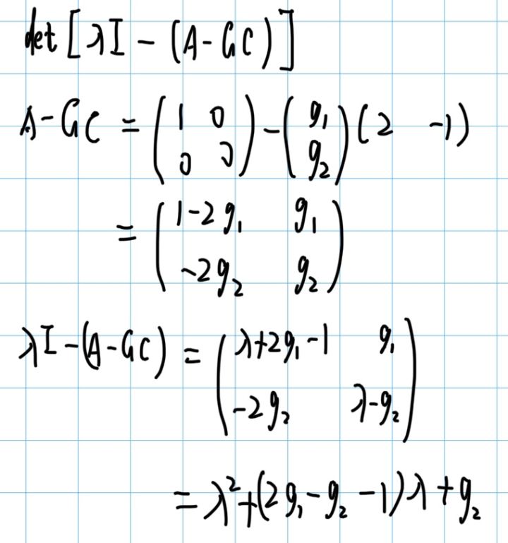
2)求出状态方程的特征多项式
3)写出观测器期望极点的特征多项式
4)求解出反馈矩阵G的系数
例子:
例如一个系统的状态方程:

设计状态观测器,使其极点为-10,10
1.引入反馈矩阵G

2.求出特征多项式

3.写出观测器的期望多项式

4.求解G的系数

建模
求出G的系数之后,我们就可以实际搭建一个模型来看看实际的效果
在建模前,我们可以先把系统的状态方程,输出方程,以及观测器的状态方程与输出方程列清楚(观测器的变量取名我都后缀加了 ‘hat’ ):
状态方程:
x1* = x1 + u
x2* = u
输出方程:
y = 2 * x1 - x2
观测器状态方程:
x1*hat = x1_hat + u + g1 * (y - y_hat)
x2*hat = u + g2 * (y - y_hat)
观测器输出方程:
y_hat = 2 * x1_hat - x2_hat
在建模前先写在simulink空白处:

之后先建立原系统部分:

之后开始做观测器的部分:

之后将状态量的实际值与估计值进行对比,可看到观测器是正常工作收敛的:

之后我们可以给状态量一个初值,看看实际观测器能否真的收敛:


最后
以上就是自信啤酒最近收集整理的关于【Matlab】设计状态观测器的全部内容,更多相关【Matlab】设计状态观测器内容请搜索靠谱客的其他文章。
本图文内容来源于网友提供,作为学习参考使用,或来自网络收集整理,版权属于原作者所有。
发表评论 取消回复