一、常见射频指标参数



口诀:30基础,等于1瓦;加3乘2,加10乘10。


3dB带宽:
常常指频率响应频响下降3dB处,最高频率减去最小频率。
dB,分贝是一个纯计数单位,本意是表示两个量的比值大小,没有单位。,dB=10lg(A/B)

增益(dB):
输出功率(dBm)减去输入功率(dBm),为正即为增益,为负即为损耗。是对应能放大功率的器件而言的,例如功率放大器PA,低噪放LNA。
低噪放(low-noise amplifier )是一类特殊的电子放大器,主要用于通讯系统中将接收自天线的信号放大,以便于后级的电子设备处理。由于来自天线的信号一般都非常微弱,低噪音放大器一般情况下均位于非常靠近天线的部位,以减小信号通过传输线的损耗。这种“有源天线”的配置广泛应用于全球定位系统(GPS)等微波系统中。这是因为同轴电缆在微波频率范围内损耗很大。
由于低噪音放大器位于整个接收机紧邻天线的最先一级,它的特性直接影响着整个接收机接受信号的质量。为了确保天线接收的信号能够在接收机的最后一级被正确的恢复,一个好的低噪音放大器需要在放大信号的同时产生尽可能低的噪音以及失真。这两个参数通常使用噪声系数和三阶输入截止点来表征。

P1dB:

OIP3(dBm):
输出三阶截获点,是衡量器件线性度指标,OIP3=Pout+IMD3/2,其中IMD3=Pout-IM3。
当OIP值越大,意味着绿线越要往右移,即谐波影响线性度越小。一般来说,OIP3比P1dB大个10到15dB就比较正常。我们在测OIP3的时候,往往就是让Pout为4dBm。因为测试时一般都是来对照的,外国一些芯片Pout好多都是以4dBm来进行测量的。


谐波:
谐波是由于器件的非线性产生。
频率上,基波是f,二次谐波就是2f,三次谐波就是3f。如图所示,二次谐波和三次谐波的大小分别为P2(dBm)和P3(dBm),二次谐波抑制比,三次谐波抑制比分别为HD2(dBc)和HD3(dBc)。

杂散:
输出端非基波信号,都属于杂散,包括:谐波、外接干扰信号、自激。

噪声系数
1.噪声:
系统中无用的信号都是噪声,例如随机起伏的空气中的高斯白噪声、放大器自身引入的噪声等。
2.信噪比:
S/N,有用信号的功率比上噪声(无用信号)的功率。
器件(模块或系统)输入端:输入信噪Si/Ni;
器件(模块或系统)输出端:输出信噪比:So/No。

二、非线性器件幂级数分析
在某些系统中,由于有源器件的特性是非线性的,在放大过程中总会产生各种各样的失真。因此,必须限制信号的大小,使失真限制在允许的范围内,才能实现线性放大。但在诸如混频、调制和解调等频谱搬移电路中,有源器件的非线性又正是实现这些功能电路所必需的。
根据输入信号的大小,一般可以用三种逼近方法来描述非线性器件的特性。第一种是用解析函数来描述器件的伏安特性。如正向导通二极管伏安特性;第二种方法是当输入信号较大时,用分段折线来描述器件的非线性;第三种方法是将器件的伏安特性在其工作点处用幂级数展开。
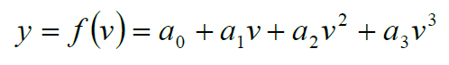
设某一非线性器件的输入信号为v、输出信号为 y =f (v)。如果 f(v)的各阶导数存在,
则该该函数可以展开成以下幂级数:

如果级数的项数取的过多,将给计算带来很大麻烦。而且,从工程计算角度看,也没有必要。(高于三次谐波的影响以及为何不分析他们,系统如何解决找时间分析)
分析前四项来做非线性器件特性分析,即非线性器件的输入信号、输出信号之间的幂级数关系为:

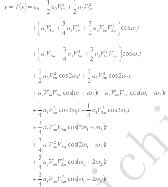
设输入信号为:

在测OIP3时,输入信号,我们用俩个在工作频带,频率相差1MHz的频率进入,就是看在工作频段中求那个较小的OIP值来表征OIP3,即表征线性度的。
将V代入,并且利用三角化简整理得

由此,我们可以发现规律:


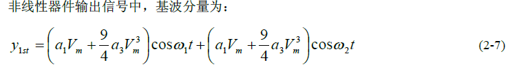
三、输入等幅双音,非线性器件输出信号分析




四、非线性器件的IP3、IM3 及相关参数分析
4.1 IP3、IP2 分析



4.2 各参数之间的关系




五、OIP3测试场景
1、功分器是实现信号分配的器件。
2、合路器是将同频段及不同频段的信号进行合路。
3、将合路器作为功分器使用没有问题
4、将功分器作为合路器用时需注意其输入的信号要求是等幅。
5、但要注意二者在使用时都要注意功率容量及频段范围。 双工器和合路器在我看来是不一样的,双工器一般用在设备的输出和输入端,用来隔离不同的频段的信号。比如:移动通信的上下行信号。合路器在硬件电路中一般用在功率合成方面的。比如:要得到一个40dbm的信号,就可以用两个输出功率为20dbm的功率放大器进行合路。他们内部的结构原理也应该不一样的,双工器的内部应该是滤波腔体(大的双工器),合路器内部应该是一个偶合电路。
普通OIP3测试:两台信号源出频间距1MHz,功率相同信号,用合路器接两路信号后,再接入板子SMA端口,板子另一端口接入频谱仪,通过调节信号源直到频谱仪上信号功率为4dBm为止,计算OIP3。
***混频器OIP3测试:***(GR2000B)
本振固定,1M间距频率由中频(发射时)或者射频(接收)給。频谱仪上的接入端是TX_MIX_OUT或RX_MIX_OUT。


五、计算NF,了解频谱仪等仪器功能
eg.频谱仪的RBW=1KHz,测得No=-115dBm。已知放大器增益G=20dB,根据公式NF(dB)=No-G-(-174),计算NF(dB)?
RBW为分辨率1KHz,那么每Hz的仪器噪声是-145dBm。
所以NF(dB)=-145 - 20 - (-174)= 9(dB)。
NF = (Si/Ni)/(So/No) = No/(Ni*G)
NF(dB)就以对数的形式来表示的,所以这里-174=10lg(Ni)。
最后
以上就是调皮航空最近收集整理的关于射频——测试基础概念的全部内容,更多相关射频——测试基础概念内容请搜索靠谱客的其他文章。
发表评论 取消回复