《机器人运动建模》
《机器人运动建模、规划、控制》
2019/10/15
1.1 机器人的数学模型
1.1.1 机器人的符号表示R表示转动关节,P表示平动关节。RRR表示带有三个转动关节的机械臂。Zi表示连接i和i+1连杆的关节轴线,或者平动关节的轴线。关节变量来表示两个相邻连杆间的相对运动。
1.1.2 位形空间机械臂的位形是指机械臂上各点位置的一个完整规范。所有位形的集合称为位形空间。一个物体的位形最少可以由n个参数来确定,则这个物体由n个自由度(degree of freedom)。自由度的数目等于位形空间的维度。对于一个机械臂而言一个关节对应一个自由度。一个处于三维空间的物体具有6个自由度:3个位置自由度和3个姿态自由度。一个的机械臂最少具有6个自由度。如果自由度小于6,手臂无法以任意的姿态到达工作空间中的每一点。大于6个自由度的机械臂称为运动学冗余机械臂。
1.1.3 状态空间位形为机械臂的集合结构提供一种瞬时的描述,但它与动态响应无关。状态是指这样的一组变量:结合机械臂的动力学描述以及未来输入,足以确定机械臂未来的时域响应。状态空间的指的是所有可能状态的集合。
1.1.4 工作空间一个机械臂的工作空间是指当机械臂执行所有可能动作时,其末端执行器扫过总体空间的体积。工作空间受限于几何机构以及关节上的机械限位。工作空间可分为可达空间和灵活空间。可达空间:指机械臂可以抵达到的所有点的集合。灵活空间:指机械臂可以以任意姿态抵达的所有点的集合。灵活空间是可达空间的一个子集。
1.2 机器人作为一种机械装置
1.2.1 机器人机械臂的分类
1、动力源
(a)液压驱动器有着其他方式无法比拟的响应速度以及扭矩性能,主要用于提取重物。主要的缺点是可能泄露液压油、更多的外围设备以及噪音。(b) 直流或交流电机驱动便宜,清洁、安静。
© 气动机器人成本不高结构简单,但是无法精确控制。
2、控制方法非伺服该类机器人基本上是开环的控制装置,运动范围受限于预先设置好的机械限位,并且它们主要用于运动材料。伺服该类型机器人采用闭环计算机控制来决定运动。根据控制器对末端执行器引导方法的不同,进一步分类为:点到点机器人:通过示教来设置一系列离散点,但末端执行器在这些点之间的轨迹不受控制。连续路径机器人:末端的执行器的整个路径都可以被控制。例如跟踪两点之间的直线段,此外,可以控制末端执行器的速度或加速度。
3、应用领域装配机器人和非装配机器人。装配应用和非装配应用之间的主要区别之一是:装配有较高的精度要求,这是因为在工作空间内的装配工件之间有显著的相互作用力。
4、几何结构关节型(RRR)、球坐标型(RRP),SCARA型(RRP),圆柱型(RPP)或者笛卡尔型(PPP).以上机械臂属于串联连杆。另外还有并联式机器人,在并联机器人中,连杆组成一个封闭而不是开放的运动链,相比串联机器人,它们的运动学更为复杂。
1.2.2 机器人 系统整个系统包括机械臂、外部动力源、手臂末端工具,外部和内部传感器,计算机接口以及控制计算机。

1.2.3 精度和重复精度精度是对机械臂能以何种接近程度到达工作空间内给定点的能力的一种度量。重复精度是对机械臂能以何种接近程度返回先前示教点的能力的一种度量。测量定位误差的主要方法是使用位于关节部位的编码器,通常不会对末端执行器的位置和姿态进行直接的测量,而是基于机械臂几何机构和刚体假设,根据测量的关节位置来计算末端执行器的位置。因此定位精度受到下列因素的影响:计算误差、机械臂制造过程的加工精度,机械连杆在重力或者负载作用下的柔性变形、齿轮间隙以及其他多种静态和动态因素。如果没有高刚度,机器人的精度的提高值能依赖于对末端执行器位置的直接的测量。
1.2.4 手腕和末端执行器(p17)普遍做法使用球形手腕,三个旋转轴相交于同一点,这一点称为手腕中心(腕心)。

1.3 常见的运动学配置
1.3.1关节型机械臂(RRR)关节型机械臂也称回转、肘或仿人机械臂。
转动关节的另一种设计是使用平行四边形连杆。(平行四边形连杆的灵活性比上述肘关节机械臂稍差)平行四边形连杆的特点是,其第三轴的驱动安装在第一个连杆处,由于电机的重量主要由连杆1承载,连杆2和连杆3可以制作得更为轻便,因而也降低了对电机驱动力的要求。另外,平行四边形机械臂的动力学比上述肘关节机械臂要简单,因而更容易控制。

1.3.2 球坐标机械臂(RRP)采用平动关节取代关节型机械臂的第三个关节即肘关节。球坐标机械臂:机器人的关节坐标与末端执行器相对于肩关节处坐标系的球面坐标重合。

1.3.3 SCARA型机械臂(RRP)专门从事装配操作。与球坐标机械臂不同,z0、z1、z2三者相互平行。

1.3.4 圆柱型机械臂(RPP)第一个关节产生一个围绕基座的旋转运动,而第二和第三关节为平动式。顾名思义,关节变量为末端执行器相对于基座的圆柱坐标。


1.3.5 笛卡尔型机械臂(PPP)也称直角坐标型,机械臂的前三个关节为平动式。笛卡尔型机械臂的关节变量对应着末端执行器相对底座的直角(笛卡尔)坐标。笛卡尔型机械臂适用于台式组装应用,也可做龙门机器人,用于材料或货物的转移。

1.3.6 并联机械臂并联机械臂是指其中某些连杆形成一个闭式运动链的机器人。(一个并联机械臂有两个或多个运动链将其底座和末端执行器连接起来。)并联机器人的闭式运动链可以极大的提高结构刚度,因而精度更高。
1.4 本书概要
1、正运动学已知关节角度来确定末端执行器或工具的位置和方向。习惯上建立一个固定的坐标系,称它为世界或基础坐标系,作为包括机械臂的所有物体的参考坐标系。
2、逆运动学已知末端执行器或工具的方向和位置求解关节的角度。
3、速度运动学

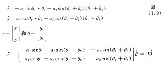
J称为机械臂的雅可比矩阵,它属于机械臂的一个亟待确定的基本量。雅可比矩阵行列式等于a1a2sin(θ2).当θ2=0或θ2=π时,该行列式不可逆,此时机械臂处于奇异位形。处于奇异位形时有无数种运动无法实现。奇异位形也与运动学逆解不唯一这种情况有联系。
4、路径规划和轨迹生成机器人控制问题按照层次分为三个任务:路径规划(设计曲线)、轨迹生成(表达曲线)、轨迹跟踪(跟踪曲线)。
5 独立关节控制

处理跟踪与抗扰的孪生问题,它是指确定跟随或跟踪参考轨迹所需要的控制输入,同时抵抗由于未建模的动态效应(如摩擦和噪声等因素)引起的干扰。下图是单输入/单输出反馈控制系统框图,即独立关节算法设计。
6 动力学拉格朗日动力学:可用于系统地推导刚性连杆机器人的运动方程。牛顿-欧拉递归:用来推导机器人的运动方程,适合于仿真和控制的实时计算。
7 多变量控制


最后
以上就是烂漫薯片最近收集整理的关于机器人学习笔记(1)导论的全部内容,更多相关机器人学习笔记(1)导论内容请搜索靠谱客的其他文章。
发表评论 取消回复