我的代码是参考b站up主霹雳吧啦Wz的Faster RCNN源码解析,自己跟着源代码敲了下,记录一下自己的理解,具体代码在博主下面有链接。
首先不同于目标分类任务仅需要对目标进行分类识别,Fasterrcnn网络属于目标检测任务,是识别出物体并对该物体描框以显示物体在图片中的位置,这个定位框有(xmin,ymin,xmax,ymax)四种属性,假设我们要识别的目标是一只狗,如图所示有四个坐标信息。

接下来我们知道了我们所需要实现的任务,就是扔给计算机一堆打好了标签的图片,并对这个标签命名,同样也假设我们要识别这只狗,我们需要手动对它打标签,框出狗在图片中的位置,如图所示。也就是说如果你想让计算机识别出狗,你就要给它一堆你框出的狗的照片,这样它就能建立一个有关狗的形象,就能进行识别。

在打标签的过程中,还会生成图片的xml文件,它给出了框的坐标信息以及该照片的label信息dog

做好打标签的准备工作后,我们把图片按照如下格式存放,xml文件放在Annotations中,图片放在JPEGImages,ImageSets存放我们之后要说的划分的训练集和验证集。

训练集和验证集的划分过程如下
#!/usr/bin/env python
# -*- coding: utf-8 -*-
# @Time : 2022/5/15 10:28
# @Author : 半岛铁盒
# @File : spiltdataset.py
# @Software: win10 python3.6
import os
import random
#划分训练集和验证集
#定义自己的标件文件路径
file_path="VOC/VOCdevkit/VOC2007/Annotations"
# os.listdir(path) 返回指定路径下所有文件和文件夹的名字,并存放于一个列表中
#用.分割,取出第0个元素也就是标签名称
file_name=sorted([file.split('.')[0] for file in os.listdir(file_path)])
file_nums=len(file_name)
#比例设为0.5
vate=0.5
#从文件个数中抽取总数量的一半,作为验证集的索引
val_index=random.sample(range(0, file_nums),k=int(file_nums*vate))
#定义两个空的训练集和验证集列表用来存放信息
train_files=[]
val_files=[]
# enumerate将其组成一个索引序列,利用它可以同时获得索引和值
for index,file_name in enumerate(file_name):
#如果索引值在验证集索引里,就把文件加入到验证集列表,否则加入训练集列表
if index in val_index:
val_files.append(file_name)
else:
train_files.append(file_name)
#"x"写模式,新建一个文件
#把train_files和val_files放入新建的txt文件内
train_f=open("train.txt","x")
val_f=open("val.txt","x")
train_f.write("n".join(train_files))
val_f.write("n".join(val_files))
接下来我们就开始进入FasterRCNN的搭建过程,先附上该网络的框架图

第一步,定义自己的Dataset数据集,这个数据集要实现两种方法,第一是__len__得到xml标签文件的个数,二是__getitem__,通过该方法返回图片信息与图片的target信息,target信息包括
(boxes信息:“也就是框的坐标信息”,labels信息:“物体的类别名称”,idxs信息:“图片索引”,area信息:“框的面积”,iscrowd信息:“可以理解成是否与其他目标有重叠”)
定义了自己的数据集后就可以通过DataLoder读入自己的训练集和验证集数据,代码如下
#!/usr/bin/env python
# -*- coding: utf-8 -*-
# @Time : 2022/5/15 10:28
# @Author : 半岛铁盒
# @File : mydataset.py
# @Software: win10 python3.6
#定义一个自己的数据集
from torch.utils.data import Dataset
import os
import json
from PIL import Image
from lxml import etree
import torch
# 继承自torch.utils.data.Dataset
class VOCDataSet(Dataset):
def __init__(self,voc_root,transforms,train_set=True):
self.root=os.path.join(voc_root,"VOCdevkit","VOC2007")
self.img_root=os.path.join(self.root,"JPEGImages")
self.Annotations_root=os.path.join(self.root,"Annotations")
#如果是训练集则训练集,否则验证集
if train_set==True:
txt_list=os.path.join(self.root,"ImageSets","Main","train.txt")
else:
txt_list=os.path.join(self.root,"ImageSets","Main","val.txt")
#readlines()一次性先将整个文件内容按行读取完
#strip() 方法用于移除字符串头尾指定的字符(默认为空格或换行符)或字符序列,此处用来去除换行符
#xml_list代表存放训练集或验证集的txt文件
with open(txt_list) as read:
self.xml_list=[os.path.join(self.Annotations_root,line.strip()+".xml") for line in read.readlines()]
try:
json_file=open("./pascal_voc_classes.json","r")
self.class_dict=json.load(json_file)
except Exception as e: #异常
print(e)
exit(-1)
self.transforms=transforms
def __len__(self):
return len(self.xml_list)
def __getitem__(self, idx):
#返回索引对应的xml文件
xml_path=self.xml_list[idx]
with open(xml_path,encoding="UTF-8") as fid:
#读取xml文件
xml_str=fid.read()
#etree.fromstring()(将字符串转化为Element对象) 用etree来读取xml文件
xml=etree.fromstring(xml_str)
#parse_xml_to_dict返回标签对应的xml信息
data=self.parse_xml_to_dict(xml)["annotation"]
#如果filename不是jpg后缀就把它改成jpg后缀
file_name=data["filename"].split(".")[0]+".jpg"
img_path=os.path.join(self.img_root,file_name)
image=Image.open(img_path)
if image.format != "JPEG":
raise ValueError("Image '{}' format not JPEG".format(img_path))
boxes=[]
labels=[]
iscrowd=[]
#将标签信息中objec里的bndbox内的xy坐标信息读入
for obj in data["object"]:
xim=float(obj["bndbox"]["xmin"])
xmax=float(obj["bndbox"]["xmax"])
ymin=float(obj["bndbox"]["ymin"])
ymax=float(obj["bndbox"]["ymax"])
#将xy坐标信息存入boxes,一个标签信息中可能有多个objext所以boxes也有多个
boxes.append([xim,ymin,xmax,ymax])
#将该标签中每一个object的name对应json文件中的key值 sheet 1
labels.append(self.class_dict[obj["name"]])
#obj里的difficult代表目标是否重叠,可以简单理解为目标难不难检测
iscrowd.append(int(obj["difficult"]))
boxes=torch.as_tensor(boxes,dtype=torch.float32)
labels=torch.as_tensor(labels,dtype=torch.int64)
iscrowd=torch.as_tensor(iscrowd,dtype=torch.int64)
image_id=torch.tensor([idx])
#boxes[:,3]第三个也就是ymax,计算一下目标面积
area=(boxes[:,3]-boxes[:,1])*(boxes[:,2]-boxes[:,0])
#将上述信息打包到target字典里
target={}
target["boxes"]=boxes
target["labels"]=labels
target["image_id"]=image_id
target["area"]=area
target["iscrowd"]=iscrowd
# print(target["boxes"])
# print(target["boxes"].shape)
if self.transforms is not None:
image,target=self.transforms(image,target)
return image,target
def get_height_and_width(self,idx):
xml_path=self.xml_list[idx]
with open(xml_path,encoding="UTF-8") as fid:
xml_str=fid.read()
xml=etree.fromstring(xml_str)
data=self.parse_xml_to_dict(xml)["annotation"]
data_height=int(data["size"]["height"])
data_width=int(data["size"]["width"])
return data_height,data_width
def parse_xml_to_dict(self, xml):
#将xml文件解析成字典形式,递归
if len(xml) == 0: # 遍历到底层,直接返回tag对应的信息
return {xml.tag: xml.text}
result = {}
for child in xml:
child_result = self.parse_xml_to_dict(child) # 递归遍历标签信息
if child.tag != "object":
result[child.tag] = child_result[child.tag]
else:
if child.tag not in result: # 因为object可能有多个,所以需要放入列表里
result[child.tag] = []
result[child.tag].append(child_result[child.tag])
return {xml.tag: result}
def coco_index(self, idx):
"""
该方法是专门为pycocotools统计标签信息准备,不对图像和标签作任何处理
由于不用去读取图片,可大幅缩减统计时间
Args:
idx: 输入需要获取图像的索引
"""
# read xml
xml_path = self.xml_list[idx]
with open(xml_path, encoding="UTF-8") as fid:
xml_str = fid.read()
xml = etree.fromstring(xml_str)
data = self.parse_xml_to_dict(xml)["annotation"]
file_name=data["filename"].split(".")[0]+".jpg"
data["filename"]=file_name
data_height = int(data["size"]["height"])
data_width = int(data["size"]["width"])
# img_path = os.path.join(self.img_root, data["filename"])
# image = Image.open(img_path)
# if image.format != "JPEG":
# raise ValueError("Image format not JPEG")
boxes = []
labels = [] # 存储xml文件中name:的信息 比如dog,cat所对应的索引值,而不是dog,cat
iscrowd = [] # 是否与其他目标有重叠
for obj in data["object"]:
xmin = float(obj["bndbox"]["xmin"])
xmax = float(obj["bndbox"]["xmax"])
ymin = float(obj["bndbox"]["ymin"])
ymax = float(obj["bndbox"]["ymax"])
boxes.append([xmin,ymin,xmax,ymax])
labels.append(self.class_dict[obj["name"]])
iscrowd.append(int(obj["difficult"]))
# convert everything into a torch.Tensor
boxes = torch.as_tensor(boxes, dtype=torch.float32)
labels = torch.as_tensor(labels, dtype=torch.int64)
iscrowd = torch.as_tensor(iscrowd, dtype=torch.int64)
image_id = torch.tensor([idx])
area = (boxes[:, 3] - boxes[:, 1]) * (boxes[:, 2] - boxes[:, 0])
target = {}
target["boxes"] = boxes
target["labels"] = labels
target["image_id"] = image_id
target["area"] = area
target["iscrowd"] = iscrowd
return (data_height, data_width), target
def collate_fn(batch):
return tuple(zip(*batch))
定义完自己的数据集后,我们从该网络的训练流程一步步讲起,参考如下代码
#!/usr/bin/env python
# -*- coding: utf-8 -*-
# @Time : 2022/6/12 12:10
# @Author : 半岛铁盒
# @File : train.py
# @Software: win10 python3.6
import torch
import torchvision
from net import FasterRCNN,AnchorsGenerator
import os
import datetime
import transforms
from mydataset import VOCDataSet
from train_utils import GroupedBatchSampler,create_aspect_ratio_groups
from train_utils import train_eval_utils as utils
def create_model(num_classes):
import torchvision
from torchvision.models.feature_extraction import create_feature_extractor
backbone=torchvision.models.resnet152(pretrained=True)
# print(backbone)
backbone=create_feature_extractor(backbone,return_nodes={"layer3":"0"})
# out=backbone(torch.rand(1,3,224,224))
# print(out["0"].shape)
backbone.out_channels=1024
anchor_generator=AnchorsGenerator(
sizes=((32,64,128,256,512),),
aspect_ratios=((0.5,1.0,2.0),)
)
roi_pooler=torchvision.ops.MultiScaleRoIAlign(featmap_names=['0'],
output_size=[7,7],
sampling_ratio=2)
model=FasterRCNN(backbone=backbone,
num_classes=num_classes,
rpn_anchor_generator=anchor_generator,
box_roi_pool=roi_pooler)
return model
def main():
device=torch.device("cpu" if torch.cuda.is_available() else "cuda:0")
print("Using {} device traning".format(device.type))
# 用来保存coco_info的文件 记录的
results_file = "results{}.txt".format(datetime.datetime.now().strftime("%Y%m%d-%H%M%S"))
# 检查保存权重文件夹是否存在,不存在则创建
if not os.path.exists("save_weights"):
os.makedirs("save_weights")
#图片预处理
data_transform = {
"train": transforms.Compose([transforms.ToTensor(),
transforms.RandomHorizontalFlip(0.5)]),
"val": transforms.Compose([transforms.ToTensor()])
}
VOC_root="./VOC"
aspect_ratio_group_factor = 3
batch_size=2
amp=False
if os.path.exists(os.path.join(VOC_root,"VOCdevkit")) is False:
raise FileNotFoundError("VOCdevkit does not in path:'{}'".format(VOC_root))
train_dataset=VOCDataSet(voc_root=VOC_root,transforms=data_transform["train"],train_set=True)
train_sampler=None
#是否按图片相似高宽比采样图片组成batch
#使用的话能减小训练时所需的GPU显存,默认使用
if aspect_ratio_group_factor >= 0:
train_sampler = torch.utils.data.RandomSampler(train_dataset)
# 统计所有图像高宽比例在bins区间中的位置索引
group_ids = create_aspect_ratio_groups(train_dataset, k=aspect_ratio_group_factor)
# 每个batch图片从同一高宽比例区间中取
train_batch_sampler = GroupedBatchSampler(train_sampler, group_ids, batch_size)
# 注意这里的collate_fn是自定义的,因为读取的数据包括image和targets,不能直接使用默认的方法合成batch
nw=min([os.cpu_count(),batch_size if batch_size>1 else 0,8])
if train_sampler:
# 如果按照图片高宽比采样图片,dataloader中需要使用batch_sampler
train_data_loader=torch.utils.data.DataLoader(train_dataset,
batch_sampler=train_batch_sampler,
pin_memory=True,
num_workers=nw,
collate_fn=train_dataset.collate_fn)
else:
train_data_loader=torch.utils.data.DataLoader(train_dataset,
batch_size=batch_size,
shuffle=True,
pin_memory=True,
num_workers=nw,
collate_fn=train_dataset.collate_fn)
val_dataset=VOCDataSet(voc_root=VOC_root,transforms=data_transform["val"],train_set=False)
val_data_loader = torch.utils.data.DataLoader(val_dataset,
batch_size=1,
shuffle=False,
pin_memory=True,
num_workers=nw,
collate_fn=val_dataset.collate_fn)
model=create_model(num_classes=5)
model.to(device)
#混合精度训练
scaler=torch.cuda.amp.GradScaler() if amp else None
train_loss=[]
learning_rate=[]
val_map=[]
# # # # # # # # # # # # # # # # # # # # # # # # # # # # # # # #
# first frozen backbone and train 5 epochs #
# 首先冻结前置特征提取网络权重(backbone),训练rpn以及最终预测网络部分 #
# # # # # # # # # # # # # # # # # # # # # # # # # # # # # # # #
for param in model.backbone.parameters():
param.requires_grad = False
params=[p for p in model.parameters() if p.requires_grad]
optimizer=torch.optim.SGD(params,lr=0.005,
momentum=0.9,weight_decay=0.0005)
init_epochs=5
for epoch in range(init_epochs):
mean_loss,lr=utils.train_one_epoch(model,optimizer,train_data_loader,
device,epoch,print_freq=50,
warmup=True,scaler=scaler)
train_loss.append(mean_loss.item())
learning_rate.append(lr)
coco_info = utils.evaluate(model, val_data_loader, device=device)
with open(results_file,"a") as f:
# 写入的数据包括coco指标还有loss和learning rate
result_info = [str(round(i, 4)) for i in coco_info + [mean_loss.item()]] + [str(round(lr, 6))]
txt = "epoch:{} {}".format(epoch, ' '.join(result_info))
f.write(txt + "n")
val_map.append(coco_info[1])
torch.save(model.state_dict(),"./save_weights/pretrain.pth")
# # # # # # # # # # # # # # # # # # # # # # # # # # # #
# second unfrozen backbone and train all network #
# 解冻前置特征提取网络权重(backbone),接着训练整个网络权重 #
# # # # # # # # # # # # # # # # # # # # # # # # # # # #
# 冻结backbone部分底层权重
for name,parameter in model.backbone.named_parameters():
split_name = name.split(".")[0]
if split_name in ["0", "1", "2", "3"]: #冻结了前4层的权重,因为它是通用权重,可以加速模型训练
parameter.requires_grad = False
else:
parameter.requires_grad = True
params=[p for p in model.parameters() if p.requires_grad]
optimizer=torch.optim.SGD(params,lr=0.005,
momentum=0.9,weight_decay=0.0005)
# learning rate scheduler设置学习率的路线,每隔一定步数,降低学习率,每隔3歩降低一次学习率,每此降低学习率乘以0.33
lr_scheduler=torch.optim.lr_scheduler.StepLR(optimizer,
step_size=3,
gamma=0.33)
num_epoch=20
for epoch in range(init_epochs,num_epoch+init_epochs,1):
mean_loss, lr = utils.train_one_epoch(model, optimizer, train_data_loader,
device, epoch, print_freq=50,
warmup=True, scaler=scaler)
train_loss.append(mean_loss.item())
learning_rate.append(lr)
lr_scheduler.step()
coco_info=utils.evaluate(model,val_data_loader,device=device)
# write into txt
with open(results_file, "a") as f:
# 写入的数据包括coco指标还有loss和learning rate
result_info = [str(round(i, 4)) for i in coco_info + [mean_loss.item()]] + [str(round(lr, 6))]
txt = "epoch:{} {}".format(epoch, ' '.join(result_info))
f.write(txt + "n")
val_map.append(coco_info[1]) # pascal mAP
# save weights
# 仅保存最后5个epoch的权重
if epoch in range(num_epoch+init_epochs)[-5:]:
save_files = {
'model': model.state_dict(),
'optimizer': optimizer.state_dict(),
'lr_scheduler': lr_scheduler.state_dict(),
'epoch': epoch}
torch.save(save_files, "./save_weights/mobile-model-{}.pth".format(epoch))
# plot loss and lr curve
if len(train_loss) != 0 and len(learning_rate) != 0:
from plot_curve import plot_loss_and_lr
plot_loss_and_lr(train_loss, learning_rate)
# plot mAP curve
if len(val_map) != 0:
from plot_curve import plot_map
plot_map(val_map)
if __name__ == "__main__":
main()
从main()函数开始看,第一步先给图像进行预处理(训练集转化为tensor并进行水平翻转,验证集就直接转化为tensor),接下来通过定义VOCDataSet与DataLoader读取自己的数据集。
之后就开始定义model,进入create_model函数,在该函数中定义自己的backbone(主干特征提取网络)、AnchorsGenerator(锚框生成器,sizes为框的大小,aspect_ratios为框的长宽比,每一个sizes对应3个长宽比,所以可以在一个锚点上生成sizes*aspect_ratios个框,锚点即为滑动窗口的中心点)、ROIPOOLing(将输出channels变为7x7大小),最后将以上三个加上num_classes(类别数+背景)赋给FasterRCNN函数,该函数其实就是起到初始化的作用,接下来我们来介绍FasterRCNN函数。
class FasterRCNN(FasterRCNNBase):
def __init__(self,backbone,num_classes=None, #num_classes需要加上背景
#transform参数
# 预处理resize时限制的最小尺寸与最大尺寸
min_size=800,max_size=1333,
image_mean=None,image_std=None,
#RPN参数
# rpn_anchor_generator是anchor的生成器
rpn_anchor_generator=None,rpn_head=None,
# rpn中在nms处理前后保留的proposal数(根据score),这里前后相同是针对带有FPN的多个预测特征层,
# 每层在NMS前都保存2000个,总共加起来就上万了,然后再通过NMS保留2000个
#pre每个预测特征层nms处理之前所保留的目标个数,post是nms处理之后剩余的目标个数
rpn_pre_nms_top_n_train=2000,rpn_pre_nms_top_n_test=1000,
rpn_post_nms_top_n_train=2000,rpn_post_nms_top_n_test=1000,
# rpn中进行nms处理时使用的iou阈值
rpn_nms_thresh=0.7,
# rpn计算损失时,采集正负样本设置的阈值 anchor与groundtruth大于0.7即为正样本,小于0.3为负样本
#fg代表前景目标,bg代表背景目标 foreground and background 在0.7和03之间的直接舍去
rpn_fg_iou_thresh=0.7,rpn_bg_iou_thresh=0.3,
# rpn计算损失时采样的样本数,以及正样本占总样本的比例,正负样本比例为1比1
rpn_batch_size_per_image=256,rpn_positive_fraction=0.5,
rpn_score_thresh=0.0,
#Box参数
# box_roi_pool是ROIPOOling的参数,box_head是TWOMLPHead的 ,box_predictor是FastRCNNPredict的
box_roi_pool=None,box_head=None,box_predictor=None,
# 移除低目标概率 fast rcnn中进行nms处理的阈值 对预测结果根据score排序取前100个目标
box_score_thresh=0.05,box_nms_thresh=0.5,box_dections_per_img=100,
# fast rcnn计算误差时,采集正负样本设置的阈值
box_fg_iou_thresh=0.5,box_bg_iou_thresh=0.5,
# fast rcnn计算误差时采样的样本数,以及正样本占所有样本的比例
box_batch_size_per_image=512,box_positive_fraction=0.25,
bbox_reg_weights=None):
#判断backbone是否有outchannels属性
if not hasattr(backbone,"out_channels"):
raise ValueError("backbone should have out_channels")
#判断rpn_anchor_generator是否和给定的类型相同
assert isinstance(rpn_anchor_generator,(AnchorsGenerator,type(None)))
assert isinstance(box_roi_pool,(MultiScaleRoIAlign, type(None)))
if num_classes is not None:
if box_predictor is not None:
raise ValueError("num_classes should be None when box_predictor "
"is specified")
else:
if box_predictor is None:
raise ValueError("num_classes should not be None when box_predictor "
"is not specified")
# 预测特征层的channels
out_channels=backbone.out_channels
# 若anchor生成器为空,则自动生成针对resnet50_fpn的anchor生成器,普通的一层features不需要
if rpn_anchor_generator is None:
anchor_sizes=((32,), (64,), (128,), (256,), (512,))
aspect_ratios=((0.5,1.0,2.0),)*len(anchor_sizes)
rpn_anchor_generator=AnchorsGenerator(anchor_sizes,aspect_ratios)
if rpn_head is None:
rpn_head=RPNHead(out_channels,rpn_anchor_generator.num_anchors_per_location()[0])
# 默认rpn_pre_nms_top_n_train = 2000, rpn_pre_nms_top_n_test = 1000,
# 默认rpn_post_nms_top_n_train = 2000, rpn_post_nms_top_n_test = 1000,
rpn_pre_nms_top_n = dict(training=rpn_pre_nms_top_n_train, testing=rpn_pre_nms_top_n_test)
rpn_post_nms_top_n = dict(training=rpn_post_nms_top_n_train, testing=rpn_post_nms_top_n_test)
# 定义整个RPN框架
rpn = RegionProposalNetwork(
rpn_anchor_generator, rpn_head,
rpn_fg_iou_thresh, rpn_bg_iou_thresh,
rpn_batch_size_per_image, rpn_positive_fraction,
rpn_pre_nms_top_n, rpn_post_nms_top_n, rpn_nms_thresh,
score_thresh=rpn_score_thresh)
# Multi-scale RoIAlign pooling
if box_roi_pool is None:
box_roi_pool = MultiScaleRoIAlign( #MultiScaleRoIAlign对应的就是ROIPooling
featmap_names=['0', '1', '2', '3'], # 在哪些特征层进行roi pooling,不带FPN的特征图只有一个 0
output_size=[7, 7],
sampling_ratio=2)
# fast RCNN中roi pooling后的展平处理两个全连接层部分
if box_head is None:
resolution = box_roi_pool.output_size[0] # 默认等于7
representation_size = 1024
box_head = TwoMLPHead(
out_channels * resolution ** 2, #out_channels是图像通过backbone
#得到的特征矩阵的channel resolution就是output_size【7x7】
representation_size #representation_size是两个全连接层输出的节点个数
)
# 在box_head的输出上预测部分,是图上的FasterRCNNPredictor部分
if box_predictor is None:
representation_size=1024
box_predictor=FastRCNNPredictor(representation_size,
num_classes) #这里的num_classes是加上了背景的
roi_heads=ROIHeads(box_roi_pool, #对应就是ROipooling
box_head, #对应的是TwoMLPHead部分 展平操作,通过两个全连接层
box_predictor, #对应的是fasterrcnnpredictor #接上两个并行的全连接层,一个用于预测proposals的目标分数,一个用于预测proposals的回归参数
box_fg_iou_thresh, #proposals与gt的iou>0.5即是正样本
box_bg_iou_thresh, #proposals与gt的iou<0.5即是负样本
box_batch_size_per_image, #在每张图片中选取512个proposals用来计算Fasterrcnn的损失
box_positive_fraction, #指定的正样本比例 0.25
bbox_reg_weights,
box_score_thresh,box_nms_thresh,box_dections_per_img) #0.05 0.5 100 对最终结果进行后处理的阈值
if image_mean is None:
image_mean=[0.485,0.456,0.406]
if image_std is None:
image_std=[0.229,0.224,0.225]
transform=GeneralizedRCNNTransform(min_size,max_size,image_mean,image_std)
super(FasterRCNN,self).__init__(backbone,rpn,roi_heads,transform)
这里我用的backbone为resnet152,后面统一用resnet152讲,步骤如下
1.定义anchor_generator,因为前面定义过了,这里不需要再定义
2.定义RPNHead,RPNHead是利用3x3的滑动窗口生成cls_logits(预测目标概率)与bbox_pred(bbox regression参数,对bbox框进行矫正)。
3.设定RPN在nms处理前后设定的保留框的数量(根据概率),训练集都设定为2000个,验证集都设定为1000个。
4.定义整个RPN框架(将anchor_generator、RPNHead、保留框的数量和一系列阈值赋给RPN)。
5.定义MultiScaleRoIAlign即ROIPooling层,也是前面定义过了。
6.定义TWOMLPHead(对应流程图看),即一个展平层,两个全连接层。
7.定义FastRCNNPredictor,与前面的RPNHead有点类似,都是生成cls_scores(预测目标分数)与bbox_pred(bbox regression参数),但这里是两个全连接层。
8.定义roiheads框架(其中包括roi pooling, box_head以及box_predictor还有一些列阈值权重)
9.定义图像均值和标准差
10.定义GeneralizedRCNNTransform预处理部分,对数据进行标准化,缩放,打包成batch等处理
至此model定义完毕。
接下来先将backbone权重冻结,利用它的权重训练后面的RPN以及最终预测网络部分,防止后面网络部分权重为0,定义学习率与优化器,预训练5轮,记录它的loss与lr,保存预训练的权重。从train_one_epoch内的loss_dict = model(images, targets)进入到FasterRCNNBase函数,该函数是fasterrcnn总框架
#fasterrcnn总框架
class FasterRCNNBase(nn.Module):
def __init__(self,backbone,rpn,roi_heads,transform):
super(FasterRCNNBase,self).__init__()
#特征提取网络
self.backbone=backbone
#区域建议网络,用来生成建议框
self.rpn=rpn
self.roi_heads=roi_heads
self.transform=transform
self._has_warned=False
@torch.jit.unused
def eager_outputs(self, losses, detections):
# type: (Dict[str, Tensor], List[Dict[str, Tensor]]) -> Union[Dict[str, Tensor], List[Dict[str, Tensor]]]
if self.training:
return losses
return detections
def forward(self,images,targets=None):
# type: (List[Tensor], Optional[List[Dict[str, Tensor]]]) -> Tuple[Dict[str, Tensor], List[Dict[str, Tensor]]]
# self.training用model.train或model.eval来控制
if self.training and targets is None:
raise ValueError("in training mode,targets should be passed")
if self.training:
assert targets is not None
#targets是mydataset中getitem返回的targets,里面包括图片的一些列信息
for target in targets:
# 进一步判断传入的target的boxes参数是否符合规定
boxes=target["boxes"]
if isinstance(boxes,torch.Tensor):
# boxes.shape=[x,4],x是有多少个目标坐标,4是xmin,xmax,ymin,ymax
if len(boxes.shape)!=2 or boxes.shape[-1]!=4:
raise ValueError("boxes has error")
else:
raise ValueError("boxes should be tensor")
#原始图像大小,是一个空列表,这个列表的类型是一个元祖
original_image_sizes=torch.jit.annotate(List[Tuple[int,int]], [])
for img in images:
# 后两个参数【c,h,w】的h和w
val=img.shape[-2:]
#确保val是一个二维向量
assert len(val)==2
# 将图像的高度和宽度添加进去,记录原始的图像长宽,后面要预处理得到输出后要映射回原图像尺寸
original_image_sizes.append((val[0],val[1]))
images,targets=self.transform(images,targets)
# 将图像输入backbone得到特征图
features=self.backbone(images.tensors)
if isinstance(features["0"],torch.Tensor): # 若只在一层特征层上预测,将feature放入有序字典中,并编号为‘0’
features=OrderedDict([("0",features["0"])]) # 若在多层特征层上预测,传入的就是一个有序字典 特征图
# proposals区域建议框,proposal_losses是rpn损失
#proposals就是经过nms处理过滤等一系列操作的boxes信息之前前2000个每张图片
# proposals: List[Tensor], Tensor_shape: [num_proposals, 4],
#proposals_losses是边界框回归损失和目标预测概率损失
# 每个proposals是绝对坐标,且为(x1, y1, x2, y2)格式
proposals,proposals_losses=self.rpn(images,features,targets)
# 将rpn生成的数据以及标注target信息传入fast rcnn后半部分
#detections预测结果 与losses
detections,detections_losses=self.roi_heads(features,proposals,images.image_sizes,targets)
# 对网络的预测结果进行后处理(主要将bboxes还原到原图像尺度上)
detections=self.transform.postprocess(detections,images.image_sizes,original_image_sizes)
losses={}
# 统计fasterrcnn损失
losses.update(detections_losses)
# 统计Rpn损失
losses.update(proposals_losses)
if torch.jit.is_scripting():
if not self.has_warned:
warnings.warn("RCNN always returns a (Losses, Detections) tuple in scripting")
self._has_warned=True
return losses,detections
else:
return self.eager_outputs(losses,detections)
步骤如下
1.记录图像的原始长宽,为resize后映射回原尺度做准备
2.对images和targets进行预处理,进入GeneralizedRCNNTransform函数,该函数步骤如下
[1].对图像进行标准化处理
[2].把图像和targets中的bboxes缩放到指定范围,进行resize处理,也就是指定图片的最小最大边长,指定图像的缩放比例(指定最大边长/指定最小边长),如果图片的最大边长大于指定最大边长,则将缩放比例修改为指定最大边长/图片最大边长。然后利用interpolate插值的方法将图片根据比例缩放,得到resize后的图片长宽,用resize后的图片长宽/原图长宽得到bbox缩放比例,将bboxes的(xmin、ymin、xmax、ymax)分别乘以bbox缩放比例得到resize后的bboxes。
[3].记录resize后的图片长宽,并且把它打包成一个batch,它是先计算得到一个batchsize中图片最大的C,H,W,然后将这个最大图片的H,W向上调整到32的整数倍,这样这个尺寸就是每一批batchsize中所有图片里最大的长宽,对应下图中的黄色,然后将一个batchsize中的所用图片复制到这个黄色的图片上,对齐左上角,保证bboxes的坐标不变,一样就把一组图片打包成了一个batch,变成了四维张量[N,C,H,W]。

[4].将打包成batch的images和resize后的图片长宽传入ImagesList类
[5].返回ImagesList和resize过boxes的targets。
3.将ImagesList类中的images输入backbone提取特征得到特征图features,backbone用的是resnet152。
4.将ImagesList,features,resize后的targets传入rpn网络,步骤如下
[1].将features输入RPNHead获得objectness(预测目标分数)与pred_bbox_deltas(bbox regression参数),上面讲过,和cls_logits、bbox_pred是对应一样的。
[2].将ImagesList和features输入anchor_generator生成anchors,它的步骤如下
(1).获得features的长宽与ImagesList中images的长宽,通过ImagesList中images的长宽/features的长宽得到特征图对应图像上的歩长strides(H,W)。
(2).利用sizes和aspect_ratios可以求出在features上生成anchors的长宽,从而得出anchors模板,如下图左边的红色框。
(3).将在features上生成好的anchors信息映射回resize后的图片,即将features的H,W乘以strides就得到了对应resize后的图上的anchors的xy坐标即可求得features映射到原图的坐标偏移量,将anchors模板加上坐标偏移量,这样就把anchors信息映射回了resize后的图片尺度,就得到了图片上所有anchors的坐标信息。如下图右边的所有红色框。

(4).将每一张图像所有anchors坐标信息拼接到一起。
[3].获取每个预测层上anchors的数量,这里预测层只有一层,所以只为1,具体是用objectness(N,C,H,W)的C*H*W得到anchors的数量。
[4].调整内部objectness与pred_bbox_deltas的shape调整,即原本的shape是[N,C,H,W] (N为batch_size)→[N,C*H*W,1]→[N*C*H*W,1], 将四维数据变为二维数据,方便计算损失。pred_bbox_deltas为[N*C*H*W,4]
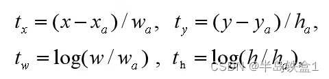
[5].将pred_bbox_deltas即bbox regression参数应用到anchors上对anchors坐标信息进行调整,得到最终预测的bbox坐标,步骤是获取anchors的中心点的xy坐标以及W,H长度,bbox regression的中心点xy坐标以及W,H长度,根据以下公式(tx,ty为regression的xy坐标、xa,ya为anchors的xy坐标、tw,th为regression的wh长度、wa,ha为regression的wh长度)就可以求出最终预测的bbox中心点xy坐标与wh长度,就可以得到建议框proposal。

[6].筛除面积小的boxes框,nms处理,根据预测概率获取前2000个目标等过滤操作,步骤如下
(1).将objectness的shape→[N,C*H*W],并阻止其梯度传播
(2).将每一层预测特征层的anchors取出并拼接,因为这个是不带FPN结构的所以只有一层预测层,如果有多层就可以根据anchors所在的层数判断它是哪一层特征层的anchros信息,并将它的shape调整成跟objectness[N,C*H*W]一样.称其为levels
(3).根据objectness的C*H*W取出每一个预测层分数排名前2000的anchors框,如果C*H*W<2000则取前C*H*W个anchors框,假设预测层不止一层则加上偏移量再取下一层的前2000个框。最后把每一层取出的anchors框拼接在一起,称为top_n_idx[N,2000]
(4).获取概率排前top_n_idx的objectness概率信息
(5).获取levels排前top_n_idx的对应anchors信息
(6).获取概率排前top_n_idx的bbox坐标信息(proposals)
(7).将objectness进行激活函数将其值限定在[0,1]之间
(8).将proposals的xy坐标最大值限制调整到ImagesList中的resize后的图片长宽内
(9).剔除proposals的w,h小于1的小框、剔除概率小于0的框、再对框进行nms处理,保留剩下的框。如果剩下的框大于2000个,就取前2000个框,如果不足2000个,就全取,称之为建议框,提取过滤后余下的objectness(建议框分数)、proposals(建议框)。
[7].计算每个anchors最匹配的gt,并将anchors进行分类,前景,背景以及废弃的anchors,具体操作就是取出targets中的boxes信息,然后将anchors与boxes进行iou计算,如下图IOU表示(A∩B)/(A∪B),如果iou<0.3索引置为-1(背景),0.3<iou<0.7索引为-2(舍弃),iou>0.7为正样本,步骤如下

如下图每一个anchors与对应boxes之间的iou都会被计算,然后先挑选出每一个anchors最匹配的boxes作为正样本,如第一个match所示,然后对其进行调整iou<0.3的索引调为-1,0.3<iou<0.7的索引调为-2如第二个match所示,但是如果有一个box自始至终都没有被匹配到的话像N3,那么也把N3对应anchors最大的值设为正样本如下图第三个match所示

(1).将下限设为0取出anchors对应gtbox为正样本的坐标,索引为-1(背景)和-2(舍弃)的坐标都设为0即对应N0的坐标,记为matched_gt_boxes
(2).将背景设为0,舍弃的设为-1,前景设为1记为labels
(3).返回matched_gt_boxes,labels
[8].结合anchors和与之对应的matched_gt_boxes计算regression参数,具体就是获取anchors的xy坐标和matched_gt_boxes的xy坐标这样就能得到各自的W和H与中心点坐标,根据下图公式(x*,y*对应matched_gt_boxes的中心点xy坐标、xa,ya对应anchors的中心点xy坐标、wa,ha对应anchors的长宽),就可以求得matched_gt_boxes(anchors对应真实gtbox)对应anchors的回归参数坐标(对应anchors的真实的边界框回归参数regression_targets)。

[9].计算RPN损失(其中包括bbox regression损失和目标预测概率(objectness)损失),步骤如下
(1).找出labels中为1的索引(即正样本)、索引为0的索引(即背景),指定采样的正样本数量为256*0.5=128,如果正样本数量小于128则取所有,采样的负样本数量为(256-正样本数量),然后随机采样以上数量的正样本数量和负样本数量,并分别存放在两个空列表中,正样本列表将取出的正样本置1(从labels中取得)、负样本列表索引也置1。
(2).将正负样本索引拼接在一起,即采样的总样本(sampled_inds)。
(3).计算bbox regression损失,将预测的边界框回归参数(pred_bbox_deltas)中采样的正样本回归参数与真实的边界框回归参数(regression_targets)中采样的正样本回归参数两者之差取绝对值成为n,若n小于1/9,则0.5*n**2 / (1/9),否则n-0.5*(1/9),结果即为每一个回归框的损失,最后把每一个回归框的损失求合即得到了所有框的总损失,再除以总样本数(sampled_inds)即为bbox regression损失。
(4).计算目标预测概率(objectness)损失,即将目标预测概率(objectness)中采样的总样本(sampled_inds)预测概率与真实概率(labels)中采样的总样本概率进行二值交叉熵计算求得目标预测概率损失。
[10].将bbox regression损失与目标预测概率损失存放在一个空字典中(losses)
[11].返回建议框proposals和losses,至此RPN部分结束。
5.将RPN生成的建议框proposals以及图片targets等信息传入fast rcnn后半部分,步骤如下
[1].如果在训练模式下要划分正负样本对应的建议框proposals,统计对应gt的标签以及边界框回归信息,步骤如下
(1).获取targets中的boxes以及labels信息,并将boxes拼接到proposals后面
(2).计算proposals与每个gtboxes的iou(与上面anchors对应每一个gtboxes是类似的,会形成一个矩阵),并记录iou最大值索引,步骤也与之前一样,iou<0.3的索引调为-1,0.3<iou<0.7的索引调为-2,然后将下限设为0,即索引为-1(背景)和-2(舍弃)的都设为0对应gtbox0,记为matched_idxs,获取proposals匹配到的对应的labels标签,即正样本对应的labels是根据它匹配到的gtbox所对应的labels,将负样本索引置为0,舍弃样本索引置为-1记为labels(这个labels和标签labels是不一样的),返回matched_idxs和labels。
(3)随机采样正样本前512*0.25的proposals,负样本512-正样本数量,按照这个数量关系随机采样labels中的正负样本,并分别将正样本索引置1,负样本索引置1,然后记录所有样本索引(正样本和负样本)
(4).获取每张图片的正负样本索引的proposals信息(proposals)、真实类别信息(labels)、对应正负样本的gtboxes信息,然后根据proprosals对应的gtboxes信息和proposals进行应算,也是运用如下公式(xa,ya,wa,ha对应proposals的坐标、x,y,w,h对应gtboxes的坐标)算出对应proposals的真实的bbox regression参数(regression_targets),最后返回proposals、labels、regression_targets

6.将样本通过RoIAlign pooling层
7.再通过一层展平层和两层全连接层
8.再并行的通过两个全连接层分别得到预测目标类别分数class_logits(每一个proposals对每一个类别(这个类别是加上了背景的)都会预测一个score)和边界框回归参数box_regression。
9.然后计算FasterRCNN损失,具体就是用class_logits与将背景设为0,舍弃的设为-1,前景设为1的labels做二值交叉熵求得类别损失信息、将预测的边界框回归参数(box_regression)与真是的回归参数(regression_targets)相比较(与上面计算RPN损失中的bbox regression损失步骤一样)就可得边界框损失。把目标类别损失与边界框回归损失都存放在losses字典中,返回预测结果与losses,训练模式预测结果为空列表,要经过验证模式时才会有预测结果,如果是验证模式,步骤如下
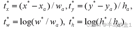
[1].利用预测的目标边界框回归参数(box_regression 对应tx,ty,tw,th)和预测的proposal(对应xa,ya,wa,ha)计算出最终bbox 的坐标,利用如下公式。

[2].对预测目标类别分数class_logits针对每一个类别进行softmax处理将分数限制在[0,1]
[3].将最终目标边界框参数裁剪到到ImagesList中resize后的图片长宽范围内
[4].移除概率小于0.05的框、移除长宽低于1的小框、nms处理,最终保留分数排前100的框,将boxes、labels、scores存放在最终结果中
10.对预测结果进行后处理,并将boxes从resize后的长宽还原到原尺度上
11.统计RPN损失和FasterRCNN损失。至此FasterRCNN网络部分结束
然后将backbone权重解冻训练整个网络权重,但将backbone底层权重(前四层)冻结不训练,因为底层权重是通用权重,所以不需要训练,冻结它可以加快训练速度,设定学习率和优化器,然后训练较多的轮数,并且训练完成后仅保存最后5轮的权重,训练完成后就可以利用训练好的权重来做预测,这就是整个网络的训练流程。
最后
以上就是土豪小虾米最近收集整理的关于目标检测任务,利用Pytorch搭建自己的FasterRCNN网络的全部内容,更多相关目标检测任务,利用Pytorch搭建自己内容请搜索靠谱客的其他文章。
发表评论 取消回复