
思路:矩阵快速幂优化dp,
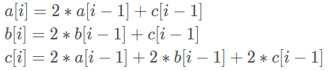
首先,定义a[i]为染i块砖时,红绿均偶数的方案数。
b[i]:红绿均奇数,c[i]:红绿一奇数一偶数。
那么我们可以得到三个状态转移方程:

很明显,我们可以得到一个等式:

是不是很直观了呢,我们只需要知道a[1]=2,b[1]=0,c[1]=2就可以求出所有的情况。
完整代码:
#include<cmath>
#include<iostream>
#include<cstring>
#define ll long long
using namespace std;
const int N=3;
int n,m=10007;
struct matrix
{
int a[N][N];
matrix operator*(const matrix &b) const{
matrix tmp;
for(int i=0;i<N;i++){
for(int j=0;j<N;j++){
tmp.a[i][j]=0;
for(int k=0;k<N;k++){
tmp.a[i][j]+=(a[i][k]*b.a[k][j])%m;
}
tmp.a[i][j]%=m;
}
}
return tmp;
}
matrix(){
memset(a,0,sizeof(a));
}
};
matrix quick_pow(matrix x,int e){
matrix tmp;
//memset(tmp.a,0,sizeof(tmp.a));
tmp.a[0][0]=2;
tmp.a[1][0]=0;
tmp.a[2][0]=2;
while(e){
if(e&1){
tmp=x*tmp;
}
x=x*x;
e=e>>1;
}
return tmp;
}
int main(){
int T;
int tmp[N][N]={{2,0,1},{0,2,1},{2,2,2}};
cin>>T;
while(T--){
cin>>n;
matrix x;//2 0 1 0 2 1 2 2 2
for(int i=0;i<N;i++)
for(int j=0;j<N;j++)
{
x.a[i][j]=tmp[i][j];
}
matrix ans=quick_pow(x,n-1);
cout<<ans.a[0][0]<<endl;
}
return 0;
}

定义dp[i][j]为第i天穿第j件衣服所获得的最大快乐值,我们得到状态转移方程:

那么直接进行遍历肯定是会超时的,这里需要使用矩阵快速幂优化,只需要把矩阵乘重载成上面的形式就行了。
具体见代码:
#include<cmath>
#include<iostream>
#include<cstring>
#define ll long long
using namespace std;
const int N=105;
int n,m;
struct matrix
{
ll a[N][N];
matrix operator*(const matrix &b) const{
matrix tmp;
for(int i=0;i<m;i++){
for(int j=0;j<m;j++){
tmp.a[i][j]=0;
for(int k=0;k<m;k++){
tmp.a[i][j]=max(tmp.a[i][j],a[i][k]+b.a[k][j]);
}
}
}
return tmp;
}
matrix(){
memset(a,0,sizeof(a));
}
};
matrix quick_pow(matrix x,int e){
matrix tmp;
//memset(tmp.a,0,sizeof(tmp.a));
while(e){
if(e&1){
tmp=tmp*x;
}
x=x*x;
e=e>>1;
}
return tmp;
}
int main(){
while(cin>>n>>m){
matrix h,ansm;
for(int i=0;i<m;i++){
for(int j=0;j<m;j++){
cin>>h.a[i][j];
}
}
ansm=quick_pow(h,n-1);
ll ans=0;
for(int i=0;i<m;i++)
for(int j=0;j<m;j++){
ans=max(ans,ansm.a[i][j]);
}
cout<<ans<<endl;
}
return 0;
}
最后
以上就是兴奋小鸽子最近收集整理的关于Week14 作业(选做)-矩阵快速幂dp的全部内容,更多相关Week14内容请搜索靠谱客的其他文章。
本图文内容来源于网友提供,作为学习参考使用,或来自网络收集整理,版权属于原作者所有。
发表评论 取消回复