Toggle navigation
首页
博客
下载
AI
科技
互联网
会员
中心
会员中心
发布资讯
发布博文
发布资源
首页
文章中心
夜雨数竞
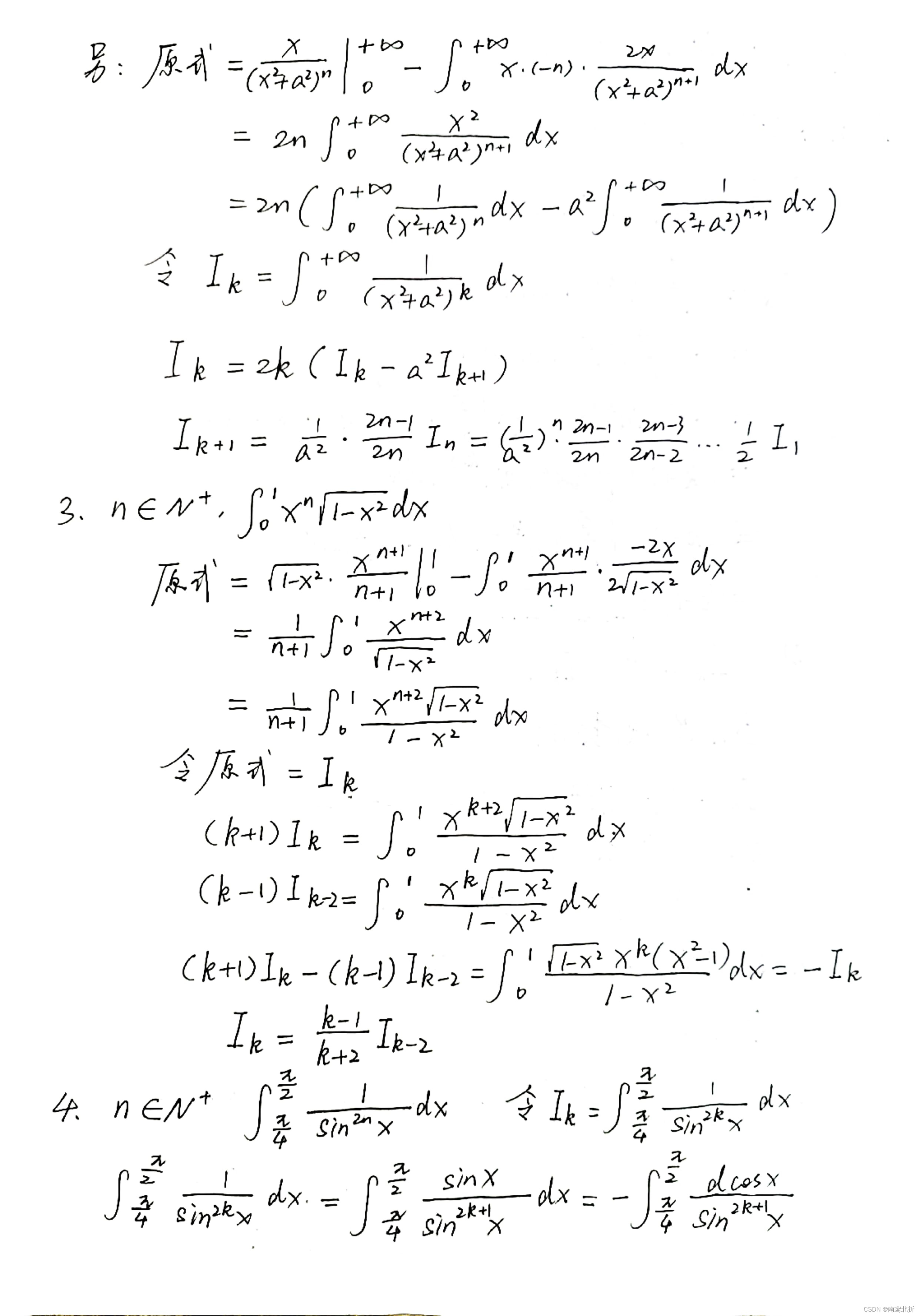
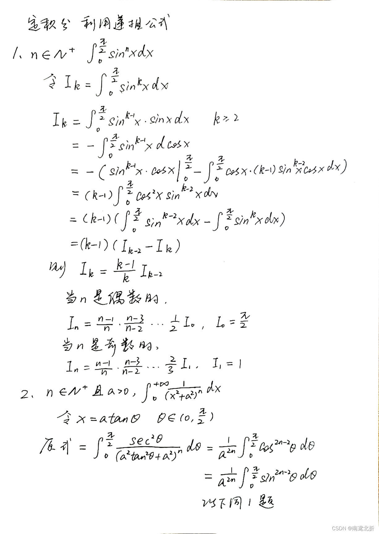
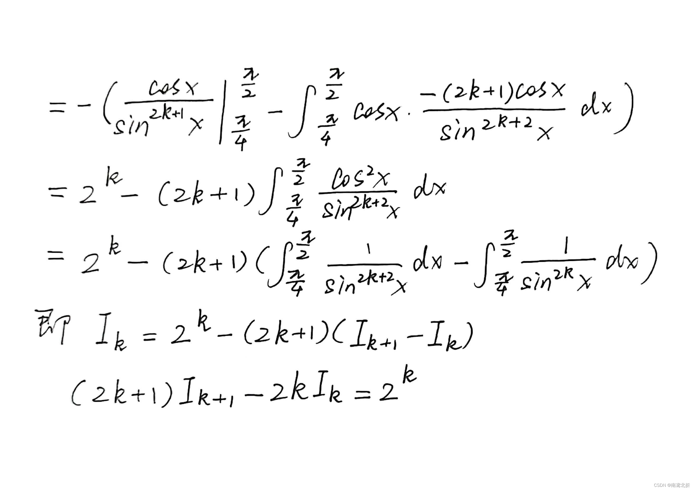
夜雨数竞笔记-定积分(5)-利用递推公式
204 阅读
0 评论
135 点赞
我是
靠谱客
的博主
真实睫毛膏
,这篇文章主要介绍
夜雨数竞笔记-定积分(5)-利用递推公式
,现在分享给大家,希望可以做个参考。
最后
以上就是
真实睫毛膏
最近收集整理的关于
夜雨数竞笔记-定积分(5)-利用递推公式
的全部内容,更多相关
夜雨数竞笔记-定积分(5)-利用递推公式
内容请搜索靠谱客的其他文章。
本图文内容来源于网友提供,作为学习参考使用,或来自网络收集整理,版权属于原作者所有。
点赞(
135
)
本文分类:
夜雨数竞
浏览次数:
204
次浏览
发布日期:2023-08-27 23:55:06
本文链接:
https://www.kaopuke.com/article/k-p-k_14_uzo_14_fy_12__23__2_0.html
相关文章
排队时延(Queuing delay)
BBR 与 queuing
HDU——2604 Queuing(矩阵快速幂或者技巧题)
HDU2604Queuing
夜雨数竞笔记-定积分(5)-利用递推公式
HDU 2604
hdu 2604 Queuing (矩阵快速幂)分析代码
HDU 2604-Queuing(递推+矩阵快速幂)
评论列表
共有
0
条评论
发表评论
取消回复
登录
注册新账号
立即
投稿
返回
顶部
发表评论 取消回复