网络时延的构成
Network delay including four parts:
Processing delay - time routers take to process the packet header.
Queuing delay - time the packet spends in routing queues
Transmission delay - time it takes to push the packet's bits onto the link.
Propagation delay - time for a signal to reach its destination.
本文关注的是其中的排队时延(Queuing delay)。
为什么会有排队时延?
A:When packets arrive at a router, they have to be processed and transmitted.
A router can only process one packet at a time. If packets arrive faster than the router
can process them the router puts them into the queue until it can get around to
transmitting them.
As a queue begins to fill up due to traffic arriving faster than it can be processed,
the amount of delay a particular packet experiences traversing the queue increases.
数据报的到达速度 > 路由器的处理速度,就会将数据报暂存起来,等待处理。
排队时延的影响因素?
路由器利用率 = 每秒到达的数据报个数 / 路由器每秒能处理的数据报个数。
路由缓存大小:和最大排队时延成比例。

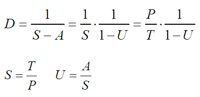
几个参数
路由器的传输速度(Transmission rate),10Mbps / 100Mbps / 1000Mbps / 10Gbps。
路由器的服务速度(Service rate):Transmission rate / average packet size,路由器每秒最多能处理的数据报个数。
数据报的到达速度(Arrival rate):每秒有多少个数据报到达路由器。
路由器利用率(Resource utilization):Arrival rate / Service rate,表示路由器的使用情况。
T:路由器的传输速度。
S:路由器的服务速度。
A:数据报的到达速度。
U:路由器的利用率。
P:数据报的平均大小。
D:排队时延。
时延曲线(delay curve)可以用以下函数来表示:

几个结论:
(1) T和A相同时,P越小,D越小。
同一条链路,发送10个小包,和发送10个大包相比,小包经历的排队时延小。
当然,这个时候10个小包所占用的带宽也少。
(2) 路由器的利用率
对于高优先级、低延迟的流来说,路由器的利用率不能太高。
对于低优先级、时延敏感度低的流来说,路由器的利用率不受限制。
从上图可以看到:
U <= 80%,D随着U的增长而缓慢增长。
U > 80%,D随着U的曾展而剧烈增长。
因此,要保证排队时延不剧烈增长,U要小于80%,即数据报的发送速度 < 0.8 * 路由器传输速度。
例如,对于一个1000Mbps的路由器来说,数据报的发送速度在800Mbps以下为佳。
当数据报的发送速度超过800Mbps时,排队时延就会猛涨,响应也巨慢。
(3) 最大排队时延
最大排队时延和路由缓存大小是成比例的。
如果使用了一个很大的路由缓存,则当排队时延很大的时候,也不会发生丢包,这显然是不合理的。
当路由缓存满了的时候,路由器就会把数据报丢掉,这就是拥塞丢包。
这个时候,路由器所经受的排队时延应该是最大的。
同时,路由的变化也会导致时延的变化。
Reference
[1] http://www.hill2dot0.com/wiki/index.php?title=Queuing_delay
[2] http://en.wikipedia.org/wiki/Queuing_delay#cite_note-4
转载于:https://www.cnblogs.com/aiwz/p/6333300.html
最后
以上就是冷静眼神最近收集整理的关于排队时延(Queuing delay)的全部内容,更多相关排队时延(Queuing内容请搜索靠谱客的其他文章。
发表评论 取消回复