Queuing
分析
-
一般递推式
-
向量递推式
-
状态机模型 1
以最后3个人的性别序列为状态标识

转移方程:
Smmm = Smmm + Sfmm // S0 = S0 + S4
Smmf = Smmm + Sfmm // S1 = S0 + S4
Smfm = Smmf // S2 = S1
Smff = Smmf // S3 = S1
Sfmm= Smfm + Sffm // S4= S2 + S6
Sfmf= 0 // S5 = 0
Sffm = Smff // S6 = S3
Sfff = 0 // S7 = 0
转移矩阵
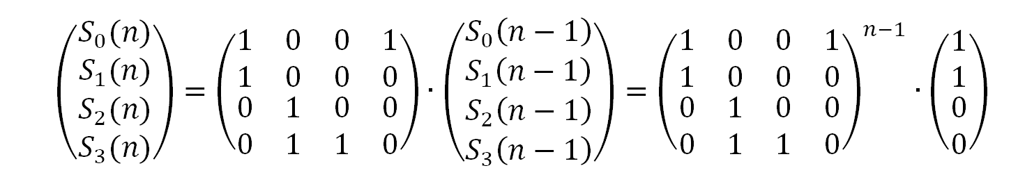
- 状态机模型 2
转移方程:
S0 = S0 + S3
S1 = S0
S2 = S1
S3 = S1 + S2
初始状态
当L=1时,S0 = 1、S1 = 1、 S2 = 0、S3 = 0
转移矩阵
代码
一般递推式
- 超时(TLE),不可行
#include<bits/stdc++.h>
using namespace std;
#define MXN 1000010
#define mod(x) ((x)%M)
int L, M, dp[MXN]={0, 2, 4, 6, 9};
int main(){
while(scanf("%d%d", &L, &M) == 2){
for(int i = 5; i <= MXN; i++)
dp[i] = mod(dp[i-1]+dp[i-3]+dp[i-4]);
printf("%dn", dp[L]%M);
}
return 0;
}
- 勉强过关【耗时:4165MS】
#include<bits/stdc++.h>
using namespace std;
#define MXN 1000010
#define mod(x) ((x)%M)
int L, M, dp[MXN]={0, 2, 4, 6, 9};
int main(){
while(scanf("%d%d", &L, &M) == 2){
for(int i = 5; i <= L; i++){
dp[i] = dp[i-1]+dp[i-3]+dp[i-4];
if(dp[i] > 1000000) dp[i] %= M;
}
printf("%dn", dp[L]%M);
}
return 0;
}
向量递推式【耗时:93ms】
#include<bits/stdc++.h>
using namespace std;
#define MXM 4
#define mod(x) ((x)%M)
int L, M, f[5]={0, 2, 4, 6, 9}, A[MXM][MXM]={{1,0,1,1},{1,0,0,0},{0,1,0,0},{0,0,1,0}};
struct mat{
int d[MXM][MXM];
mat operator*(const mat x){
mat ret;
int tmp;
for(int i = 0; i < MXM; i++){
for(int j = 0; j < MXM; j++){
tmp = 0;
for(int k = 0; k < MXM; k++){
tmp = mod(tmp + d[i][k]* x.d[k][j]);
}
ret.d[i][j] = tmp;
}
}
return ret;
}
void init_unit(){
for(int i = 0; i < MXM; i++)
for(int j = 0; j < MXM; j++)
d[i][j] = i == j ? 1 : 0;
}
void init(){
for(int i = 0; i < MXM; i++){
for(int j = 0; j < MXM; j++){
this->d[i][j] = A[i][j];
}
}
}
}ma;
mat matrixPow(mat base, int pow){
mat res;
res.init_unit();
while(pow){
if(pow & 1) res = res * base;
base = base * base;
pow >>= 1;
}
return res;
}
int main(){
while(scanf("%d%d", &L, &M) == 2){
if(L <= MXM){
printf("%dn", f[L]%M);
continue;
}
ma.init();
ma = matrixPow(ma, L-4);
int ans = 0;
for(int i = 0; i < MXM; i++)
ans = mod(ans+ma.d[0][i]*f[MXM-i]);
printf("%dn", ans);
}
return 0;
}
状态转移 1 【耗时:2636ms】
#include<bits/stdc++.h>
using namespace std;
#define LL long long
#define MXM 8
#define mod(x) ((x)%M)
int L, M, s[3]={0,2,4}, f[8]={1,1,1,1,1,0,1,0};
int A[MXM][MXM]={{1,0,0,0,1,0,0,0},{1,0,0,0,1,0,0,0},
{0,1,0,0,0,0,0,0},{0,1,0,0,0,0,0,0},
{0,0,1,0,0,0,1,0},{0,0,0,0,0,0,0,0},
{0,0,0,1,0,0,0,0},{0,0,0,0,0,0,0,0}};
struct mat{
LL d[MXM][MXM];
mat operator*(const mat x){
mat ret;
LL tmp;
for(int i = 0; i < MXM; i++){
for(int j = 0; j < MXM; j++){
tmp = 0;
for(int k = 0; k < MXM; k++){
tmp = mod(tmp + d[i][k]* x.d[k][j]);
}
ret.d[i][j] = tmp;
}
}
return ret;
}
void init_unit(){ // 初始化为单位矩阵
for(int i = 0; i < MXM; i++)
for(int j = 0; j < MXM; j++)
d[i][j] = i == j ? 1 : 0;
}
void init(){ // 初始化为变换矩阵
for(int i = 0; i < MXM; i++)
for(int j = 0; j < MXM; j++)
this->d[i][j] = A[i][j];
}
}ma;
mat matrixPow(mat base, LL pow){
mat res;
res.init_unit();
while(pow){
if(pow & 1) res = res * base;
base = base * base;
pow >>= 1;
}
return res;
}
int main(){
while(scanf("%d%d", &L, &M) == 2){
if(L <= 2){
printf("%dn", s[L]%M);
continue;
}
ma.init();
ma = matrixPow(ma, L-3);
int ans = 0;
for(int i = 0; i < MXM; i++)
for(int j = 0; j < MXM; j++)
ans = mod(ans+ma.d[i][j]*f[j]);
printf("%dn", ans);
}
return 0;
}
状态转移 2 【耗时:93MS】
#include<bits/stdc++.h>
using namespace std;
#define MXM 4
#define mod(x) ((x)%M)
int L, M, A[MXM][MXM]={{1,0,0,1},{1,0,0,0},{0,1,0,0},{0,1,1,0}};
struct mat{
int d[MXM][MXM];
mat operator*(const mat x){
mat ret;
int tmp;
for(int i = 0; i < MXM; i++){
for(int j = 0; j < MXM; j++){
tmp = 0;
for(int k = 0; k < MXM; k++){
tmp = mod(tmp + d[i][k]* x.d[k][j]);
}
ret.d[i][j] = tmp;
}
}
return ret;
}
void init_unit(){
for(int i = 0; i < MXM; i++)
for(int j = 0; j < MXM; j++)
d[i][j] = i == j ? 1 : 0;
}
void init(){
for(int i = 0; i < MXM; i++){
for(int j = 0; j < MXM; j++){
this->d[i][j] = A[i][j];
}
}
}
}ma;
mat matrixPow(mat base, int pow){
mat res;
res.init_unit();
while(pow){
if(pow & 1) res = res * base;
base = base * base;
pow >>= 1;
}
return res;
}
int main(){
while(scanf("%d%d", &L, &M) == 2){
if(L == 0){ printf("0n"); continue;}
ma.init();
ma = matrixPow(ma, L-1);
int ans = 0;
for(int i = 0; i < MXM; i++)
ans = mod(ans+ma.d[i][0]+ma.d[i][1]);
printf("%dn", ans);
}
return 0;
}
最后
以上就是幽默毛豆最近收集整理的关于hdu 2604 Queuing (矩阵快速幂)分析代码的全部内容,更多相关hdu内容请搜索靠谱客的其他文章。
本图文内容来源于网友提供,作为学习参考使用,或来自网络收集整理,版权属于原作者所有。
发表评论 取消回复