双线性插值法和nn.functional.conv_transpose2d()
1、nn.ConvTranspose2d和nn.functional.conv_transpose2d的区别
2、双线性插值法原理
3、使用nn.functional.conv_transpose2d()进行双线性插值
1、nn.ConvTranspose2d和nn.functional.conv_transpose2d的区别
1.1 nn.ConvTranspose2d()——
torch.nn.ConvTranspose2d(in_channels, out_channels, kernel_size, stride=1, padding=0, output_padding=0, groups=1, bias=True, dilation=1, padding_mode=‘zeros’)
- • in_channels (int) – 输入图像的通道数 • out_channels (int) – 由卷积产生的通道数
• kernel_size (int or tuple) – 卷积核的大小
• stride (int or tuple, optional) – 卷积的步长. Default: 1
• padding (int or tuple, optional) – dilation * (kernel_size - 1) - padding 零填充将被添加到输入的每个维度的两边. Default: 0
• output_padding (int or tuple, optional) – 在输出形状中,添加到每个尺寸一侧的额外尺寸.Default: 0
• groups (int, optional) – 从输入通道到输出通道的阻塞连接数. Default: 1
• bias (bool, optional) – If True, adds a learnable bias to the output. Default: True
• dilation (int or tuple, optional) – 核元素间距. Default: 1

Hout=(Hin−1)×stride[0]−2×padding[0]+dilation[0]×(kernel_size[0]−1)+output_padding[0]+1
Wout=(Win−1)×stride[1]−2×padding[1]+dilation[1]×(kernel_size[1]−1)+output_padding[1]+1
其对象有两个变量:weight和bias

1.2 torch.nn.functional.conv_transpose2d()
torch.nn.functional.conv_transpose2d(input, weight, bias=None, stride=1, padding=0, output_padding=0, groups=1, dilation=1)→ Tensor
对由多个输入平面组成的输入图像应用二维转置卷积算子。
• input – 输入tensor的形状

• weight –filters of shape

• bias – optional bias of shape (out_channels) . Default: None
• stride – 卷积核的步长. Can be a single number or a tuple (sH, sW). Default: 1
• padding – dilation * (kernel_size - 1) - padding零填充将被添加到输入的每个维度的两边. Can be a single number or a tuple (padH, padW). Default: 0
• output_padding – 在输出形状中,添加到每个尺寸一侧的额外尺寸. Can be a single number or a tuple (out_padH, out_padW). Default: 0
• groups – split input into groups, in_channels 应该设置能被组数整除. Default: 1
• dilation – 核元素之间的间距.Can be a single number or a tuple (dH, dW). Default: 1

可以看出,输出的shape是相同的

可以看出,连最后结果都是一样的
2、双线性插值法原理
想象一下要把一张低分辨率额图像变成一张高分辨率的图像

中间的像素点怎么确定呢?就需要用到插值法了

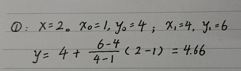
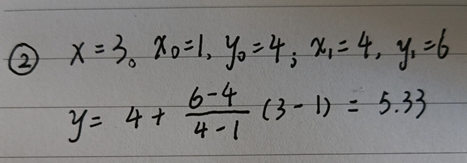
已知点(x0,y0)、(x1,y1),试问在x处插值,y的值是多少?
根据线性插值公式可以得到:

变换一下——








最终结果如下——

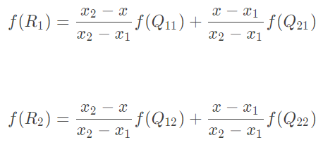
扩展到双线性插值法——

已知Q12,Q22,Q11,Q21,但是要插值的点为P点,这就要用双线性插值了,首先在x轴方向上,对R1和R2两个点进行插值,然后根据R1和R2对P点进行插值,这就是所谓的双线性插值。(实际上调换2次轴的方向先y后x也是一样的结果)
1、x方向单线性插值直接代入前一步单线性插值最后的公式:

2、y方向单线性插值

综合起来就是双线性插值最后的结果:


回顾一下上面双线性插值对应关系的图,不难发现,在计算中有这样的关系x2= x1+ 1;y2 = y1 + 1那么上面的公式中的分母全都为1

如四个已知点坐标分别为 (0, 0)、(0, 1)、(1, 0) 和 (1, 1),那么插值公式就可以化简为:



最后就是左边的原始图像经过插值后变成右边的高分辨率的图像了。
3、使用nn.functional.conv_transpose2d()进行双线性插值
nn.functional.conv_transpose2d(input,w,stride=2)这个究竟做了些什么呢?

其实反卷积就是将低分辨率的图像通过0填充成很大的图像再卷积成高分辨率的图像。
那么用于插值的权重矩阵怎么来的呢?
def make_bilinear_weights(size, num_channels):
""" Generate bi-linear interpolation weights as up-sampling filters (following FCN paper). """
factor = (size + 1) // 2
if size % 2 == 1:
center = factor - 1
else:
center = factor - 0.5
og = np.ogrid[:size, :size]
filt = (1 - abs(og[0] - center) / factor) * (1 - abs(og[1] - center) / factor)
filt = torch.from_numpy(filt)
w = torch.zeros(num_channels, num_channels, size, size)
w.requires_grad = False # Set not trainable.
for i in range(num_channels):
for j in range(num_channels):
if i == j:
w[i, j] = filt
return w
若size=4,num_channels=1时,把4和1代进去factor=2,size=4,所以采样点center是1.5,然后根据这个图求出
1-a=1.5/2=0.75,a=0.25,1-b=0.75,b=0.25


代码中将og[0]作为a,og[1]作为b

上面得出的权重tensor就是

然后用来与0填充后的矩阵进行卷积操作

可以发现,跟上面的公式一样——

reference
- https://github.com/xwjabc/hed/blob/master/networks.py
- https://pytorch.org/docs/master/generated/torch.nn.ConvTranspose2d.html#torch.nn.ConvTranspose2d
- https://blog.csdn.net/qq_38701868/article/details/103511663
- https://blog.csdn.net/lige1990/article/details/104517342
- https://blog.csdn.net/zhanly19/article/details/99718242/
最后
以上就是俭朴小笼包最近收集整理的关于双线性插值法和nn.functional.conv_transpose2d()1、nn.ConvTranspose2d和nn.functional.conv_transpose2d的区别2、双线性插值法原理3、使用nn.functional.conv_transpose2d()进行双线性插值的全部内容,更多相关双线性插值法和nn.functional.conv_transpose2d()1、nn.ConvTranspose2d和nn.functional.conv_transpose2d内容请搜索靠谱客的其他文章。
发表评论 取消回复