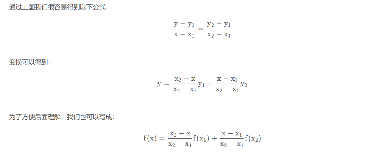
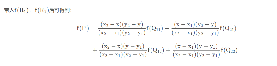
我是
靠谱客的博主
朴素枕头,这篇文章主要介绍
双线性插值,现在分享给大家,希望可以做个参考。
博客转自于:https://blog.csdn.net/qq_37541097/article/details/112564822?spm=1001.2014.3001.5502







详见博客:https://blog.csdn.net/qq_37541097/article/details/112564822?spm=1001.2014.3001.5502
最后
以上就是朴素枕头最近收集整理的关于双线性插值的全部内容,更多相关双线性插值内容请搜索靠谱客的其他文章。
本图文内容来源于网友提供,作为学习参考使用,或来自网络收集整理,版权属于原作者所有。
发表评论 取消回复