下面即将是一个大坑~~~:

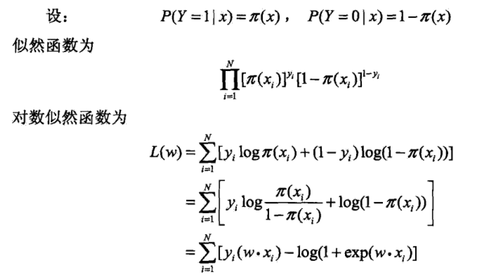
嗯,这里貌似不好推导出来啊,然后无奈之下,上网找到了这个~:

最后
以上就是欣慰大米最近收集整理的关于周志华机器学习第三章理解的全部内容,更多相关周志华机器学习第三章理解内容请搜索靠谱客的其他文章。
本图文内容来源于网友提供,作为学习参考使用,或来自网络收集整理,版权属于原作者所有。
下面即将是一个大坑~~~:

嗯,这里貌似不好推导出来啊,然后无奈之下,上网找到了这个~:

以上就是欣慰大米最近收集整理的关于周志华机器学习第三章理解的全部内容,更多相关周志华机器学习第三章理解内容请搜索靠谱客的其他文章。
发表评论 取消回复