线性模型
基本形式
线性模型试图学得一个通过属性的线性组合来进行预测的函数,即
f(x)=w1x1+w2x2+...+wdxd+b
一般用向量形式写成
f(x)=wTx+b
线性模型形式简单、易于建模,但却蕴涵着机器学习中一些重要的基本思想。
线性回归
线性模型

线性模型试图学得一个通过属性的线性组合来进行预测的函数
f(xi)=wxi+b
离散属性的处理: 若有 “序”,则连续化;否则,转化为k维向量
令均方误差最小化:


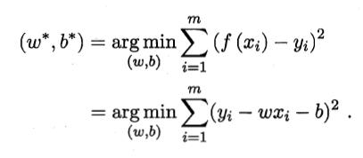
多元线性回归

把 w 和
b 吸收入向量形式
数据集表示为

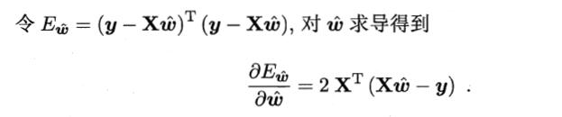
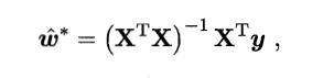
同样采用最小二乘法求解,有


- 若 XTX 满秩或正定,则

- 若 XTX 不满秩,则可解出多个 w
此时需求助于归纳偏好,或引入 正则化
对数线性回归

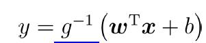
广义线性模型

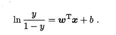
对数几率回归
- 二分类任务


- 对率回归
以对率函数为联系函数

即

几率,反映了x作为正例的相对可能性
”对数几率回归“亦称“对率回归”
- 无需事先假设数据分布
- 可得到“ 类别” 的近似概率预测
- 可直接应用现有数值优化算法求取最优解
线性判别分析
线性判别分析是一种经典的线性学习方法,在二分类问题上因为最早由Fisher提出,亦称”Fisher 判别分析”。
思想:
给定训练样例集,设法将样例投影到一条直线上,使得同类例的投影点尽可能接近,异类样例的投影点尽可能远离;在对新样品进行分类时,将其投影到相同的这条直线上,在根据投影点的位置来确定新样本的类别。
二维示意图

由于将样例投影到一条直线(低维空间),因此也被视为一种“监督降维”技术
LDA的目标
给定数据集

第i类示例的集合
Xi 第i类示例的均值向量 ui
第i类示例的协方差矩阵 Ei
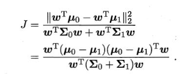
两类样本的中心在直线上的投影: wTu0 和 wTu1
两类样本的协方差: wTE0w 和 wTE1w
同类样例的投影点尽可能接近 -> wTE0w + wTE1w 尽可能小
异类样例的投影点尽可能远离 -> ||wTu0 - wTu1||22 尽可能大
于是,最大化

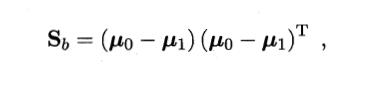
类内散度矩阵

类间散度矩阵

LDA的目标
最大化广义瑞利商

多分类学习
拆解法
将一个多分类任务拆分为若干个二分类任务求解

- OvO
- 训练N(N-1)/2个分类器,存储开销和测试时间大
- 训练只用两个类的样例,训练时间短
- OvR
- 训练N个分类器,存储开销和测试时间小
- 训练用到全部训练样例,训练时间长
纠错输出码
多对多:将若干类作为正类,若干类作为反类
- 编码
对N个类别做M次划分,每次划分将一部分类别划为正类,一部分划为反类,从而形成一个二分类训练集;这样一共产生M 个训练集,可以训练出M 个分类器
- 解码
M个分类器分别对测试样本进行预测,这些预测标记组成一个编码,将这个预测编码与每个类别各自的编码进行比较,返回其中距离最小的类别作为最终预测结果。

- ECOC编码对分类器错误有一定容忍和修正能力,编码越长,纠错能力越强
- 对同等长度的编码,理论上来说,任意两个类别之间的编码距离越远,则纠错能力越强
最后
以上就是踏实柚子最近收集整理的关于《机器学习》--周志华 (第三章学习笔记)线性模型的全部内容,更多相关《机器学习》--周志华内容请搜索靠谱客的其他文章。
发表评论 取消回复