我是靠谱客的博主 纯情战斗机,这篇文章主要介绍后方交会,现在分享给大家,希望可以做个参考。

1 计算公式    1

1.1 计算公式一    1

1.1.1 角度取法    1

1.1.2 代码实现    3

1.2 计算公式二    5

1.2.1 公式推导    5

1.2.2 代码实现    6

1.3 危险圆    7

2 精度评定    8

 

 

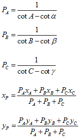
1 计算公式

如下图所示,已知ABC三点的坐标,通过测量三个角度α、β、γ即可求出这三个角度顶点P的坐标。此即为后方交会。

图1.1

1.1 计算公式一

1.1.1 角度取法

上述公式在形式上是十分优美的,但是实际使用一下该公式就会发现一个至关重要的问题被遗漏了——那就是ABC、α、β、γ这六个角度该如何取值?

下图对角度A、α的取值分四种情况进行了说明:

图1.2

上图中,角度A、α的取值遵循两条规则:

1、正方向规则:角度的增加方向(正方向),与坐标系方位角的增加方向保持一致。具体的就是数学系里角度正方向为逆时针,测量系里角度正方向为顺时针。

2、起终规则:顶点、起点、终点遵循X,X+1,X+2规则。

XA时,顶点、起点、终点分别为A,B,C。意味着:角A的起始边为AB,终止边为AC;角α的起始边为PB,终止边为PC

XB时,顶点、起点、终点分别为B,C,A。意味着:角B的起始边为BC,终止边为BA;角β的起始边为PC,终止边为PA

XC时,顶点、起点、终点分别为C,A,B。意味着:角C的起始边为CA,终止边为CB;角γ的起始边为PA,终止边为PB

1.1.2 代码实现

下面是后方交会计算公式一的C代码实现:

/******************************************************

后方交会计算

x,y [in] 三个已知点的xy坐标

HA [in] 三个已知点的水平角观测值,单位:弧度

XP,YP [out] 待求点 P 的坐标

******************************************************/

void HJ1(double x[3],double y[3],double HA[3],double*XP,double*YP)

{

int i = 0;

int nA = 0;

int nB = 1;

int nC = 2;

double ctg = 0.0;

double pi_2= 1.5707963267948966192313216916398;

double P = 0.0; //

double xp = 0.0;

double yp = 0.0;

double sp = 0.0; //权的累加值

for(i = 0;i < 3;++i)

{

ctg = ((x[nB]-x[nA])*(x[nC]-x[nA])+(y[nB]-y[nA])*(y[nC]-y[nA]))

/ ((x[nB]-x[nA])*(y[nC]-y[nA])-(x[nC]-x[nA])*(y[nB]-y[nA]));

P = 1.0 / (ctg + tan(pi_2 + HA[nC] - HA[nB]));

xp += x[i] * P;

yp += y[i] * P;

sp += P;

if(++nA > 2) { nA = 0; }

if(++nB > 2) { nB = 0; }

if(++nC > 2) { nC = 0; }

}

if(XP) { *XP = xp / sp; }

if(YP) { *YP = yp / sp; }

}

测试代码如下

void TestHJ1()

{

srand(time(NULL));

double x[3];

double y[3];

double HA[3];

double xP = rand();

double yP = rand();

double HA0 = rand();

int i;

for(i = 0;i < 3;++i)

{

x[i] = rand();

y[i] = rand();

HA[i] = atan2(y[i] - yP,x[i] - xP) + HA0;

}

double XP = 0.0;

double YP = 0.0;

HJ1(x,y,HA,&XP,&YP);

double deltaX = XP - xP; //这个数值应该接近于零

double deltaY = YP - yP; //这个数值应该接近于零

}

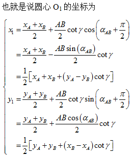
1.2 计算公式二

1.2.1 公式推导

1.2.2 代码实现

下面是后方交会计算公式二的C代码实现:

void HJ2(double xA,double yA,double HAa

,double xB,double yB,double HAb

,double xC,double yC,double HAc

,double*XP,double*YP)

{

double pi_2= 1.5707963267948966192313216916398;

double ctg = 0.0;

ctg = tan(pi_2 - (HAb - HAa));

double x1 = 0.5 * (xA + xB + (yA - yB) * ctg);

double y1 = 0.5 * (yA + yB + (xB - xA) * ctg);

ctg = tan(pi_2 - (HAc - HAa));

double x2 = 0.5 * (xA + xC + (yA - yC) * ctg);

double y2 = 0.5 * (yA + yC + (xC - xA) * ctg);

double k = 2.0*(yA*(x2-x1)+xA*(y1-y2)+x1*y2-x2*y1)

/ ((x2-x1)*(x2-x1)+(y2-y1)*(y2-y1));

if(XP) { *XP = xA + k * (y2 - y1); }

if(YP) { *YP = yA + k * (x1 - x2); }

}

测试代码如下

void TestHJ2()

{

srand(time(NULL));

double xA = rand();

double yA = rand();

double xB = rand();

double yB = rand();

double xC = rand();

double yC = rand();

double xP = rand();

double yP = rand();

double HA0 = rand();

double HAa = atan2(yA - yP,xA - xP) + HA0;

double HAb = atan2(yB - yP,xB - xP) + HA0;

double HAc = atan2(yC - yP,xC - xP) + HA0;

double XP = 0.0;

double YP = 0.0;

HJ2(xA,yA,HAa,xB,yB,HAb,xC,yC,HAc,&XP,&YP);

double deltaX = XP - xP; //这个数值应该接近于零

double deltaY = YP - yP; //这个数值应该接近于零

}

1.3 危险圆

推导公式二时,若两个圆心O1O2重合,会是个什么情况?

此时,这两个圆都会通过ABC三点,点P会在这个圆上。显然这个圆就是三角形ABC的外接圆。点P在这个圆的任何位置都能保证三个夹角为α、β、γ。

外业测量时,点P落在危险圆附近的情况一定要避免。这里介绍两种规避方法:

1、点P尽量要在三角形ABC的内部;

2、后方交会程序计算完成后,如果显示了定位精度就查看一下该数值。定位精度数值越大,说明点P离危险圆越近,定位结果越不可靠。

如何计算后方交会的定位精度,请参考下一章的内容。

 

 

2 精度评定

最后

以上就是纯情战斗机最近收集整理的关于后方交会的全部内容,更多相关后方交会内容请搜索靠谱客的其他文章。

本图文内容来源于网友提供,作为学习参考使用,或来自网络收集整理,版权属于原作者所有。
点赞(201)

评论列表共有 0 条评论

立即
投稿
返回
顶部