<算法设计与分析> --王晓东
题目描述和解析参照:http://blog.csdn.net/liufeng_king/article/details/8648195 他在那里分析得非常的详细。我也是按照这种思路来解的,而且算法设计与实现的课件上也是这么个解法。
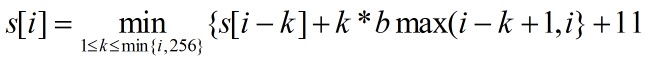
主要是理解这个公式,还有就是定义的几个数组s[],l[],b[]的含义。那么就可以自下而上的解决问题了。动态规划的题目做多了,一看到这种题目我们就应该能找到具体的方法,那就是每次不断的变换K的位置,然后查找最优解。

我的代码实现:
#include <stdio.h> #include <stdlib.h> #include <math.h> #define MAX 20 int max_bit(int p[],int start,int end); void compress(int s[],int p[],int b[],int l[],int n); void back_tack(int s[],int b[],int l[],int n); int seg; int main() { int i,l[MAX],b[MAX],s[MAX]; int p[] = {10,12,15,255,1,2}; for (i = 0; i < MAX; i++) s[i] = 999; compress(s,p,b,l,6); printf("最小空间为:%dn",s[6]); seg = 0; back_tack(s,b,l,6); printf("总共分为%d段n",seg); return 0; } int max_bit(int p[],int start,int end) { int i,bit_max,max_value; max_value = 0; for (i = start; i < end; i++) //求出最大值 max_value = max_value > p[i] ? max_value : p[i]; bit_max = 1; //最大值至少要多少的存储位 i = max_value / 2; while(i > 0) { bit_max++; i = i / 2; } return bit_max; } void compress(int s[],int p[],int b[],int l[],int n) { int i,k,tmp; int bit_max; s[0] = 0; s[1] = max_bit(p,0,1) + 11; l[1] = 0; for (i = 2; i <= n; i++){ //控制s[i] for (k = 0; k < i; k++){ // bit_max = max_bit(p,k,i); tmp = s[k] + (i-k)*bit_max + 11; //s[i] = s[i] < tmp ? s[i] : tmp; if (s[i] > tmp){ s[i] = tmp; l[i] = i-k; b[i] = bit_max; } } } } void back_tack(int s[],int b[],int l[],int n) { if (n == 0){ return; } else { seg += 1; back_tack(s,b,l,n-l[n]); printf("段长度:%d,所需存储位数:%dn", l[n],b[n]); } } // 2013/9/23 19:34
最后
以上就是超帅丝袜最近收集整理的关于动态规划--图像压缩的全部内容,更多相关动态规划--图像压缩内容请搜索靠谱客的其他文章。
本图文内容来源于网友提供,作为学习参考使用,或来自网络收集整理,版权属于原作者所有。
发表评论 取消回复