我是靠谱客的博主 微笑康乃馨,这篇文章主要介绍SimRank--基于结构的相似度度量方法学习笔记,现在分享给大家,希望可以做个参考。

详见:Glen Jeh 和 Jennifer Widom 的论文SimRank: A Measure of Structural-Context Similarity∗

一、简介

  1. 目前主要有两大类相似性度量方法:
    (1) 基于内容(content-based)的特定领域(domain-specific)度量方法,如匹配文本相似度,计算项集合的重叠区域等;
    (2) 基于链接(对象间的关系)的方法,如PageRank、SimRank和PageSim等。最近的研究表明,第二类方法度量出的对象间相似性更加符合人的直觉判断。
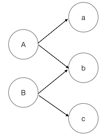
  2. Simrank的基本思想是:如果两个实体相似,那么跟它们相关的实体应该也相似。比如在图一中如果a和c相似,那么A和B应该也相似。
  3. SimRank的特点:完全基于结构信息,且可以计算图中任意两个节点间的相似度。
    这里写图片描述
    图一

二、基本公式

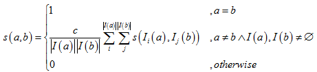
  • 在普通的同构网络中:
    这里写图片描述
    其中,s(a,b)是节点a和b的相似度Ii(a)Ii(a)表示a的第i个in-neighbor。参数c是个阻尼系数,它的含义可以这么理解:假如I(a)=I(b)={A},按照上式计算出sim(a,b)=c*sim(A,A)=c,很明显,c应该大于0小于1,所以c∈(0,1),论文中

最后

以上就是微笑康乃馨最近收集整理的关于SimRank--基于结构的相似度度量方法学习笔记的全部内容,更多相关SimRank--基于结构内容请搜索靠谱客的其他文章。

本图文内容来源于网友提供,作为学习参考使用,或来自网络收集整理,版权属于原作者所有。
点赞(186)

评论列表共有 0 条评论

立即
投稿
返回
顶部