simrank
1. simrank的基本思想
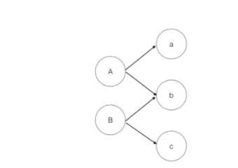
基于图结构的相似度计算方法,如果两个实体相似,那么跟它们相关的实体应该也相似。就如下图,如果a和c相似,那么A和B应该也相似,因为A和a相关,而B和c相关。

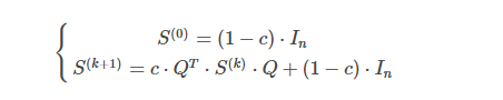
基本公式:

直接使用上面的迭代公式很难展开并行计算,数量稍微大一些(比如上十万)时在单机上跑时间和空间开销非常大。所以给出矩阵形式

例1.计算图1中节点SimRank相似度,其中c=0.6

根据定义,每个节点跟自己相似度为1,由于节点1没有入边,因此节点1与任何节点相似度为0
s(2,3)=
c
1
∗
1
frac{c}{1*1}
1∗1c(s(1,1))=0.6
s(4,5)=
c
2
∗
2
frac{c}{2*2}
2∗2c(s(2,2)+s(2,3)+s(3,2)+s(3,3))=0.48
s(5,6)=
c
2
∗
1
frac{c}{2*1}
2∗1c(s(2,3)+s(3,3))=0.48
s(4,6)=
c
2
∗
1
frac{c}{2*1}
2∗1c(s(2,3)+s(3,3))=0.48
输入:有向图
输出:全体节点相似集
下面是一张网页链接关系图,表示一所大学的主页上放了A、B两个教授的个人主页的链接,教授B和学生B的个人主页互相链接了对方,等等。下面我们要通过这种链接关系求这5个节点的相似度。

首先用一个文本文件存储上面的有向图
univ profA profB
profA studentA
studentA univ
profB studentB
studentB profB
sim_test.py
#!/usr/bin/env python
# coding=utf-8
import numpy as np
import scipy as sp
from functools import cmp_to_key
nodes = [] # 所有的节点存入数组
nodesnum = 0 # 所有节点的数目
nodes_index = {} # <节点名,节点在nodes数组中的编号>
damp = 0.8 # 阻尼系数
trans_matrix = np.matrix(0) # 转移概率矩阵
sim_matrix = np.matrix(0) # 节点相似度矩阵
def initParam(graphFile):
'''
构建nodes、nodes_index、trans_matrix和第0代的sim_matrix.
输入文件行格式要求:nodetoutneighbortoutneighbort...或 nodetinneighbortinneighbort...
'''
global nodes
global nodes_index
global trans_matrix
global sim_matrix
global damp
global nodesnum
link_in = {}
for line in open(graphFile, "r", 1024):
arr = line.strip("n").split() # 去除换行符,以空格为分隔符,['univ', 'profA', 'profB']
node = arr[0] # 存入节点数组
nodeid = -1
if node in nodes_index:
nodeid = nodes_index[node]
else:
#print(nodes)
nodeid = len(nodes)
#print(nodeid)
nodes_index[node] = nodeid
nodes.append(node)
for ele in arr[1:]:
outneighbor = ele
outneighborid = -1
if outneighbor in nodes_index:
outneighborid = nodes_index[outneighbor]
else:
outneighborid = len(nodes)
# print(outneighborid)
nodes_index[outneighbor] = outneighborid
#print(nodes_index)
nodes.append(outneighbor)
# print(nodes)
inneighbors = []
if outneighborid in link_in:
inneighbors = link_in[outneighborid]
inneighbors.append(nodeid)
#print(inneighbors)
link_in[outneighborid] = inneighbors
#print(link_in)
nodesnum = len(nodes)
trans_matrix = np.zeros((nodesnum, nodesnum))
print(trans_matrix)
print(link_in)
for node, inneighbors in link_in.items():
num = len(inneighbors)
prob = 1.0 / num
print(inneighbors)
print(num)
print(prob)
for neighbor in inneighbors:
print(neighbor)
print(node)
trans_matrix[neighbor, node] = prob
print(trans_matrix)
sim_matrix = np.identity(nodesnum) * (1 - damp) ## np.identity()生成方阵,相似矩阵
print(nodesnum)
print(damp)
print(sim_matrix)
def iterate():
'''
迭代更新相似度矩阵
'''
global trans_matrix
global sim_matrix
global damp
global nodesnum
sim_matrix = damp * np.dot(np.dot(trans_matrix.transpose(),
sim_matrix), trans_matrix) + (1 - damp) * np.identity(nodesnum)
## np.dot()矩阵积
def printResult(sim_node_file):
'''
打印输出相似度计算结果
'''
global sim_matrix
global link_out
global link_in
global nodes
global nodesnum
# 打印node之间的相似度
f_out_user = open(sim_node_file, "w")
for i in range(nodesnum):
f_out_user.write(nodes[i] + "t")
neighbour = []
for j in range(nodesnum):
if i != j:
sim = sim_matrix[i, j]
if sim == None:
sim = 0
if sim > 0:
neighbour.append((j, sim))
# 按相似度由大到小排序
##neighbour = sorted(neighbour, cmp_to_key=lambda x, y: cmp_to_key(x[1], y[1]), reverse=True)
neighbour.sort(key=cmp_to_key(lambda x,y:x[1]-y[1]),reverse=True)
for (u, sim) in neighbour:
f_out_user.write(nodes[u] + ":" + str(sim) + "t")
f_out_user.write("n")
f_out_user.close()
def simrank(graphFile, maxIteration):
global nodes_index
global trans_matrix
global sim_matrix
initParam(graphFile)
print
"nodes:"
print
nodes_index
print
"trans ratio:"
print
trans_matrix
for i in range(maxIteration):
print
"iteration %d:" % (i + 1)
iterate()
print
sim_matrix
if __name__ == '__main__':
graphFile ="link_graph.txt"
##graphFile = "graph_bipartite.txt"
sim_node_file = "nodesim_naive.txt"
maxIteration = 10
simrank(graphFile, maxIteration)
printResult(sim_node_file)
输出结果
univ profB:0.10803511296000001 studentB:0.022030581760000004
profA profB:0.36478881792 studentB:0.08159625216000001
profB profA:0.36478881792 univ:0.10803511296000001 studentB:0.0642220032 studentA:0.030222581760000002
studentA studentB:0.28216737791999996 profB:0.030222581760000002
studentB studentA:0.28216737791999996 profA:0.08159625216000001 profB:0.0642220032 univ:0.022030581760000004
例2.将user,item划分成二部图关系,每个user和item都是独立的点,user在不同item上产生用户行为,则是一条边,对于下面的例子而言,左边的搜索词是user,右边的网址就是item

基本思想:汇聚到相同的item点的user,相互之间具有相似性
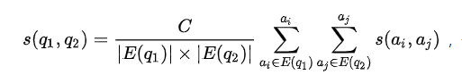
计算s(q1,q2)的思路:直接统计2个搜索词的网址集合之间交集的大小。即|E(q1)
⋂
bigcap
⋂E(q2)
公式化表达成:

同理计算S(a1,a2)的思路类似:

如果搜索词是一个百搭的搜索词,对每个网站都有点击的行为,那么这个搜索词与绝大多数的搜索词类似,这明显是有问题的,为了扼制这类百搭的搜索词,可以设计搜索词的近邻个数作为惩罚项:
c
∣
E
(
q
1
)
∣
∗
∣
E
(
q
2
)
∣
frac{c}{|E(q1)|*|E(q2)|}
∣E(q1)∣∗∣E(q2)∣c
计算S(q1,q2)和S(a1,a2)算法可以修改如下:


输入文件simple2.txt
pc,hp.com
camera,hp.com
camera,bestbuy.com
digital camera,hp.com
digital camera,bestbuy.com
tv,bestbuy.com
flower,teleflora.com
flower,orchids.com
代码实现
import numpy
from numpy import matrix
with open("simple2.txt", "r") as log_fp:
logs = [log.strip() for log in log_fp.readlines()] # 去除换行符,变成列表形式
logs_tuple = [tuple(log.split(",")) for log in logs] # 以逗号分割
## queries = list(set([log[0] for log in logs_tuple]))
queries = list(set([log[0] for log in logs_tuple])) # 搜索词列表['digital camera', 'pc', 'tv', 'flower', 'camera']
ads = list(set([log[1] for log in logs_tuple])) # ['teleflora.com', 'bestbuy.com', 'orchids.com', 'hp.com']
# Graph means the relations number
graph = numpy.matrix(numpy.zeros([len(queries), len(ads)])) # 初始化矩阵,5行4列矩阵,存放搜索词邻居节点数
for log in logs_tuple:
query = log[0]
ad = log[1]
q_i = queries.index(query)
a_j = ads.index(ad)
graph[q_i, a_j] += 1
query_sim = matrix(numpy.identity(len(queries))) # 初始化搜索词相似性矩阵,对角线为1
ad_sim = matrix(numpy.identity(len(ads))) # 初始化网址相似性矩阵,对角线为1
def get_ads_num(query):
q_i = queries.index(query)
return graph[q_i]
def get_queries_num(ad):
a_j = ads.index(ad)
return graph.transpose()[a_j]
# 搜索词的相连网址列表
def get_ads(query):
series = get_ads_num(query).tolist()[0] # [0.0, 1.0, 0.0, 1.0]
return [ads[x] for x in range(len(series)) if series[x] > 0] # ['hp.com', 'bestbuy.com']
def get_queries(ad):
series = get_queries_num(ad).tolist()[0]
return [queries[x] for x in range(len(series)) if series[x] > 0]
def query_simrank(q1, q2, C):
"""
in this, graph[q_i] -> connected ads
"""
"""
print "q1.ads"
print get_ads_num(q1).tolist()
print "q2.ads"
print get_ads_num(q2).tolist()
"""
if q1 == q2: return 1
prefix = C / (get_ads_num(q1).sum() * get_ads_num(q2).sum()) # 计算惩罚项
postfix = 0
for ad_i in get_ads(q1):
for ad_j in get_ads(q2):
i = ads.index(ad_i)
j = ads.index(ad_j)
postfix += ad_sim[i, j] # 相连邻居节点相似性
return prefix * postfix
def ad_simrank(a1, a2, C):
"""
in this, graph need to be transposed to make ad to be the index
"""
"""
print "a1.queries"
print get_queries_num(a1)
print "a2.queries"
print get_queries_num(a2)
"""
if a1 == a2: return 1
prefix = C / (get_queries_num(a1).sum() * get_queries_num(a2).sum())
postfix = 0
for query_i in get_queries(a1):
for query_j in get_queries(a2):
i = queries.index(query_i)
j = queries.index(query_j)
postfix += query_sim[i, j]
return prefix * postfix
def simrank(C=0.8, times=2):
global query_sim, ad_sim
## 迭代相似矩阵
for run in range(times):
# queries simrank
new_query_sim = matrix(numpy.identity(len(queries)))
print(new_query_sim)
for qi in queries:
for qj in queries:
i = queries.index(qi)
j = queries.index(qj)
new_query_sim[i, j] = query_simrank(qi, qj, C)
print(new_query_sim)
# ads simrank
new_ad_sim = matrix(numpy.identity(len(ads)))
for ai in ads:
for aj in ads:
i = ads.index(ai)
j = ads.index(aj)
new_ad_sim[i, j] = ad_simrank(ai, aj, C)
query_sim = new_query_sim
ad_sim = new_ad_sim
if __name__ == '__main__':
print(queries)
print(ads)
simrank()
print(query_sim)
print(ad_sim)
输出结果:
['flower', 'tv', 'digital camera', 'pc', 'camera']
['bestbuy.com', 'orchids.com', 'hp.com', 'teleflora.com']
[[1. 0. 0. 0. 0. ]
[0. 1. 0.00144144 0. 0.00213333]
[0. 0.00144144 1. 0.00216216 0.00172973]
[0. 0. 0.00216216 1. 0.0032 ]
[0. 0.00213333 0.00172973 0.0032 1. ]]
[[1.00000000e+00 0.00000000e+00 9.87654321e-04 0.00000000e+00]
[0.00000000e+00 1.00000000e+00 0.00000000e+00 3.33333333e-03]
[9.87654321e-04 0.00000000e+00 1.00000000e+00 0.00000000e+00]
[0.00000000e+00 3.33333333e-03 0.00000000e+00 1.00000000e+00]
从以上结果可以看出,s(camera,digital camera)小于s(pc,camera),这是不合理的
从两个方面去改进:
1.新增一个补偿项,当两者的交集越多,得到的补偿更多

补偿后的修正相似性得分:

2.每条边都应该有weight属性
3.simrank算法往往面向的是海量的用户数据,所以可以考虑在mapreduce,spark框架上面,实现算法迭代过程的矩阵计算,并行化
最后
以上就是精明超短裙最近收集整理的关于初识simranksimrank的全部内容,更多相关初识simranksimrank内容请搜索靠谱客的其他文章。
发表评论 取消回复