目录
文章目录
- 目录
- 摘要
- 1.一阶线性系统
- 2.二阶线性系统
- 3.典型环节
- 1.比例环节
- 2.积分环节
- 3.微分环节
- 4.惯性环节
- 5.一阶微分环节
- 6.振荡环节
- 7.延迟环节
摘要
本节主要记录自动控制原理中两个常用的微分方程。
1.一阶线性系统

如果上式进行拉普拉斯变换可以得到:系统的闭环传递函数为:

这里也可以参考自动控制原理(胡寿松版本)

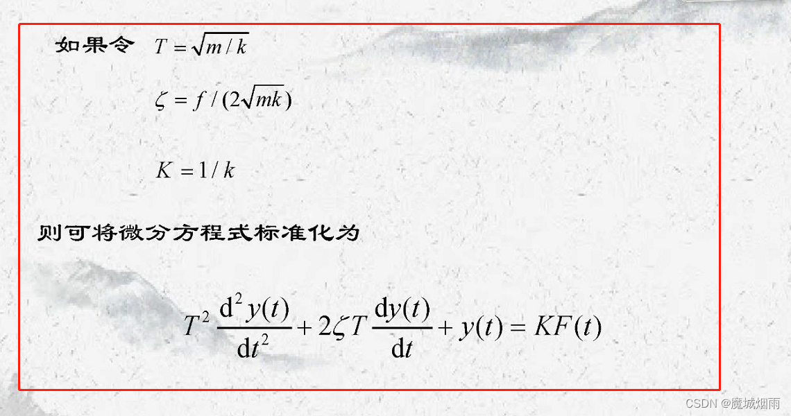
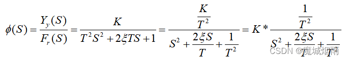
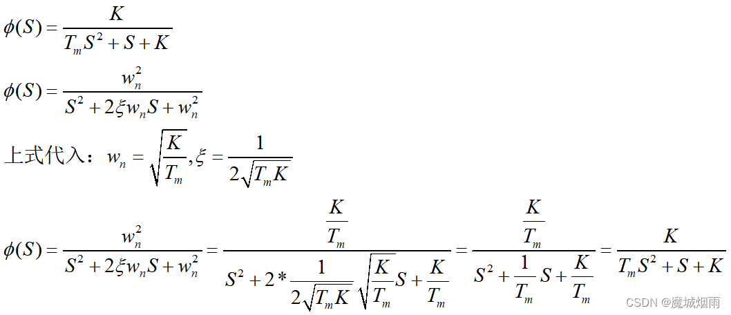
2.二阶线性系统


上式进行拉普拉斯变换可以得到:



这里我们需要重点记住公式3-9和3-11

3.典型环节
1.比例环节

2.积分环节

3.微分环节


4.惯性环节

5.一阶微分环节

6.振荡环节

7.延迟环节

最后
以上就是怕黑银耳汤最近收集整理的关于自动控制原理基础学习目录摘要1.一阶线性系统2.二阶线性系统3.典型环节的全部内容,更多相关自动控制原理基础学习目录摘要1内容请搜索靠谱客的其他文章。
本图文内容来源于网友提供,作为学习参考使用,或来自网络收集整理,版权属于原作者所有。
发表评论 取消回复