文章目录
- Example 1
- Example 2
- Example 3
- Example 4
- 频域
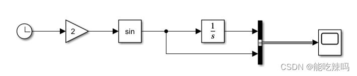
Example 1
输入是
sin
(
2
t
)
sin(2t)
sin(2t),初始值为0的积分环节是
1
s
frac{1}{s}
s1,simulink是

时域分析(蓝色为积分环节输入,黄色为积分环节输出):延迟
π
2
frac{pi}{2}
2π,幅值比例
1
2
frac{1}{2}
21

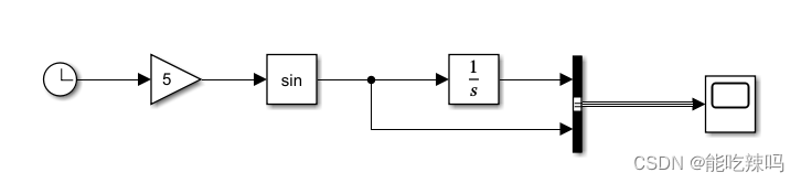
Example 2
输入是
sin
(
5
t
)
sin(5t)
sin(5t),初始值为0的积分环节是
1
s
frac{1}{s}
s1,simulink是

时域分析(蓝色为积分环节输入,黄色为积分环节输出):延迟
π
2
frac{pi}{2}
2π,幅值比例
1
5
frac{1}{5}
51

Example 3
输入是
sin
(
5
t
)
sin(5t)
sin(5t),初始值为
−
0.2
-0.2
−0.2 的积分环节是
1
s
frac{1}{s}
s1,simulink是

时域分析(蓝色为积分环节输入,黄色为积分环节输出):延迟
π
2
frac{pi}{2}
2π,幅值比例
1
5
frac{1}{5}
51

Example 4
输入是 sin ( 50 t ) sin(50t) sin(50t),初始值为 − 0.02 -0.02 −0.02 的积分环节是 1 s frac{1}{s} s1,simulink是

时域分析(蓝色为积分环节输入,黄色为积分环节输出):延迟
π
2
frac{pi}{2}
2π,幅值比例
1
50
frac{1}{50}
501

频域
积分环节
1
s
frac{1}{s}
s1的Bode图,随着频率最大,积分环节输出幅值趋向于0。

最后
以上就是忧伤唇彩最近收集整理的关于20220721 积分环节的时频域分析Example 1Example 2Example 3Example 4频域的全部内容,更多相关20220721内容请搜索靠谱客的其他文章。
发表评论 取消回复