构成线性定常控制系统的七个环节:比例环节,微分环节,一阶微分环节,二阶微分环节,积分环节,惯性环节,振荡环节
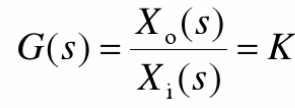
1.比例环节


- K为比例系数
- 比例环节又称无惯性环节或放大环节
- 比例环节既无零点,又无极点
- 性质:比例环节输出与输入成正比,不失真也不滞后
- 实例:理想的杠杆、放大器、测速发电机、电位器等
2.惯性环节

T为时间常数
- K为放大系数(比例系数)
- 惯性环节无零点
- 性质:当系统输入时单位阶跃信号时系统输出按单调指数规律上升
3.积分环节


- T为积分时间常数
- 积分环节无零点
- 当输入是单位阶跃信号时,积分环节的输出以固定斜率 1 T frac{1}{T} T1单调上升
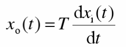
4.微分环节


- 微分环节的输出与输入的一阶导数成正比,因此微分环节能预示输入信号的变化趋势,常用来改善控制系统的动态性能
5.振荡环节


- ωn为无阻尼自然振荡频率
- ζ为阻尼比
6.一阶微分环节


- τ tau τ为时间常数
- 比例微分环节可以抑制震荡,提高控制系统的稳定性,改善系统的动态性能
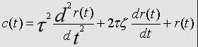
7.二阶微分环节


- τ tau τ为时间常数
- ζ为阻尼比
- 二阶微分环节没有极点,有2个零点
- 实际中也不存在真正的二阶微分环节
最后
以上就是喜悦中心最近收集整理的关于自动控制原理(1)-典型环节的传递函数的全部内容,更多相关自动控制原理(1)-典型环节内容请搜索靠谱客的其他文章。
本图文内容来源于网友提供,作为学习参考使用,或来自网络收集整理,版权属于原作者所有。
发表评论 取消回复