一、决策树的介绍
决策树(decision tree):是一种基本的分类与回归方法,此处主要讨论分类的决策树。
在分类问题中,表示基于特征对实例进行分类的过程,可以认为是if-then的集合,也可以认为是定义在特征空间与类空间上的条件概率分布。
决策树通常有三个步骤:特征选择、决策树的生成、决策树的修剪。
用决策树分类:从根节点开始,对实例的某一特征进行测试,根据测试结果将实例分配到其子节点,此时每个子节点对应着该特征的一个取值,如此递归的对实例进行测试并分配,直到到达叶子节点,最后将实例分到叶节点的类中。
下图为决策树示意图,圆点——内部节点,方框——叶节点

上图为一个决策树流程图,正方形代表判断模块,椭圆代表终止模块,表示已经得出结论,可以终止运行,左右箭头叫做分支。
决策树学习的目标:根据给定的训练数据集构建一个决策树模型,使它能够对实例进行正确的分类并在损失函数的意义下,选择最优决策树的问题。
决策树学习的本质:从训练集中归纳出一组分类规则,或者说是由训练数据集估计条件概率模型。
决策树学习的损失函数:正则化的极大似然函数。
决策树学习的测试:最小化损失函数。
决策树原理和问答猜测结果游戏相似,根据一系列数据,然后给出游戏的答案。如下图便是一个简单决策树。

k-近邻算法可以完成很多分类任务,但是其最大的缺点是无法给出数据的内在含义,决策树的优势在于数据形式非常容易理解。
二、决策树的构造
决策树学习的算法通常是一个递归地选择最优特征,并根据该特征对训练数据进行分割,使得各个子数据集有一个最好的分类的过程。这一过程对应着对特征空间的划分,也对应着决策树的构建。
1) 开始:构建根节点,将所有训练数据都放在根节点,选择一个最优特征,按着这一特征将训练数据集分割成子集,使得各个子集有一个在当前条件下最好的分类。
2) 如果这些子集已经能够被基本正确分类,那么构建叶节点,并将这些子集分到所对应的叶节点去。
3)如果还有子集不能够被正确的分类,那么就对这些子集选择新的最优特征,继续对其进行分割,构建相应的节点,如此递归进行,直至所有训练数据子集被基本正确的分类,或者没有合适的特征为止。
4)每个子集都被分到叶节点上,即都有了明确的类,这样就生成了一颗决策树。
决策树的特点
优点:计算复杂度不高,输出结果易于理解,对中间值的缺失不敏感,可以处理不相关特征数据。
缺点:可能会产生过度匹配的问题(即过拟合)
适用数据类型:数值型和标称型
使用决策树做预测需要以下过程:
1)、收集数据:可以使用任何方法。比如想构建一个相亲系统,我们可以从媒婆那里,或者通过参访相亲对象获取数据。根据他们考虑的因素和最终的选择结果,就可以得到一些供我们利用的数据了。
2)、准备数据:收集完的数据,我们要进行整理,将这些所有收集的信息按照一定规则整理出来,并排版,方便我们进行后续处理。
3)、分析数据:可以使用任何方法,决策树构造完成之后,我们可以检查决策树图形是否符合预期。
4)、训练算法:这个过程也就是构造决策树,同样也可以说是决策树学习,就是构造一个决策树的数据结构。
5)、测试算法:使用经验树计算错误率。当错误率达到了可接收范围,这个决策树就可以投放使用了。
6)、使用算法:此步骤可以使用适用于任何监督学习算法,而使用决策树可以更好地理解数据的内在含义。
决策树的构建方法
在学习决策树的构建方法之前,我们先介绍两个非常重要的概念:信息增益和信息增益比。

1. ID3算法
ID3算法的核心是在决策树各个结点上对应信息增益准则选择特征,递归地构建决策树。
具体方法是:
1)从根结点(root node)开始,对结点计算所有可能的特征的信息增益,选择信息增益最大的特征作为结点的特征。
2)由该特征的不同取值建立子节点,再对子结点递归地调用以上方法,构建决策树;直到所有特征的信息增益均很小或没有特征可以选择为止;
3)最后得到一个决策树。
ID3相当于用极大似然法进行概率模型的选择。
算法步骤:


分析数据:
上面已经求得,特征A3(有自己的房子)的信息增益最大,所以选择A3为根节点的特征,它将训练集D划分为两个子集D1(A3取值为“是”)D2(A3取值为“否”)。由于D1只有同一类的样本点,所以它成为一个叶结点,结点的类标记为“是”。
对D2则需要从特征A1(年龄),A2(有工作)和A4(信贷情况)中选择新的特征,计算各个特征的信息增益:
g ( D 2 , A 1 ) = H ( D 2 ) − H ( D 2 ∣ A 1 ) = 0.251
g ( D 2 , A 2 ) = H ( D 2 ) − H ( D 2 ∣ A 2 ) = 0.918
g ( D 2 , A 3 ) = H ( D 2 ) − H ( D 2 ∣ A 3 ) = 0.474
根据计算,选择信息增益最大的A2作为节点的特征,由于其有两个取值可能,所以引出两个子节点:
①对应“是”(有工作),包含三个样本,属于同一类,所以是一个叶子节点,类标记为“是”
②对应“否”(无工作),包含六个样本,输入同一类,所以是一个叶子节点,类标记为“否”
这样就生成一个决策树,该树只用了两个特征(有两个内部节点),生成的决策树如下图所示:

2. C4.5的生成算法
与ID3算法相似,但是做了改进,将信息增益比作为选择特征的标准。

递归构建决策树:
从数据集构造决策树算法所需的子功能模块工作原理如下:得到原始数据集,然后基于最好的属性值划分数据集,由于特征值可能多于两个,因此可能存在大于两个分支的数据集划分,第一次划分之后,数据将被向下传递到树分支的下一个节点,在此节点在此划分数据,因此可以使用递归的原则处理数据集。
递归结束的条件是:
程序完全遍历所有划分数据集的属性,或者每个分支下的所有实例都具有相同的分类,如果所有实例具有相同的分类,则得到一个叶子节点或者终止块,任何到达叶子节点的数据必然属于叶子节点的分类。
3、cart算法
CART(classification and regression tree):分类与回归树,既可以用于分类也可以用于回归。
CART是在给定输入随机变量X条件下输出随机变量Y的条件概率分布的学习方法。CART假设决策树是二叉树,这样的决策树等价于递归地二分每个特征,将输入空间即特征空间划分为有限个单元,并在这些单元上确定预测的概率分布,也就是在输入给定的条件下输出的条件概率分布。
1)基尼指数
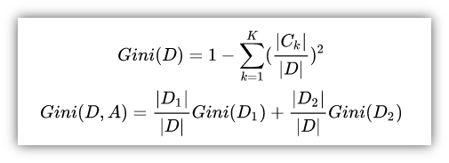
决策树的生成就是递归地构建二叉树的过程,对回归树用平方误差最小准则,对分类树用基尼指数最小化准则。在这里我将主要介绍分类树。对于给定的样本集合D,其基尼指数为:

Gini(D)表示集合D中随即变量的不确定性程度,其中Ck是D中属于第k类的样本子集,K是类的个数。基尼指数越小表示数据的纯度越高,反之其值越大,样本集合的不确定性也就越大,与熵类似。当某个样本集合D中某个类的概率为0时,Gini(D)取得最大值,此时随机变量最不确定。对于一个具有多个取值(超过2个)的特征,需要计算以每一个取值作为划分点,对样本D划分之后子集的纯度Gini(D,Ai),(其中Ai 表示特征A的可能取值)。
需要说明的是CART是个二叉树,也就是当使用某个特征划分样本集合只有两个集合:1. 等于给定的特征值的样本集合D1 , 2 .不等于给定的特征值的样本集合D2,实际上是对拥有多个取值的特征的二值处理。
举个例子:
假设现在有特征 “学历”,此特征有三个特征取值: “本科”,“硕士”, “博士”,当使用“学历”这个特征对样本集合D进行划分时,划分值分别有三个,因而有三种划分的可能集合,划分后的子集如下:
划分点: “本科”,划分后的子集合 : {本科},{硕士,博士}
划分点: “硕士”,划分后的子集合 : {硕士},{本科,博士}
划分点: “博士”,划分后的子集合 : {博士},{本科,硕士}
对于上述的每一种划分,都可以计算出基于 划分特征 = 某个特征值 将样本集合D划分为两个子集的纯度:

然后从所有的可能划分的Gini(D,Ai)中找出Gini指数最小的划分,这个划分的划分点,便是使用特征A对样本集合D进行划分的最佳划分点。
2)CART生成算法
(1)计算现有特征对数据集的基尼指数,对每一个特征A,对其可能取的每个值a,计算A=a时的基尼指数。
(2)在所有可能的A以及它所有可能的切分点a中,选择基尼指数最小的特征及其对应的切分点作为最优特征与最优切分点。根据其将数据分配到两个子节点中去。
(3)对两个子节点递归地调用(1)(2),直至满足停止条件。
算法的停止条件是节点中的样本个数小于阈值,或样本集的基尼指数小于预定阈值,或者没有更多的特征。
4、决策树的剪枝
决策树生成算法递归的产生决策树,直到不能继续下去为止,这样产生的树往往对训练数据的分类很准确,但对未知测试数据的分类缺没有那么精确,即会出现过拟合现象。过拟合产生的原因在于在学习时过多的考虑如何提高对训练数据的正确分类,从而构建出过于复杂的决策树,解决方法是考虑决策树的复杂度,对已经生成的树进行简化。
剪枝(pruning):从已经生成的树上裁掉一些子树或叶节点,并将其根节点或父节点作为新的叶子节点,从而简化分类树模型。
实现方式:极小化决策树整体的损失函数或代价函数来实现。
决策树学习的损失函数定义为:

剪枝就是当α确定时,选择损失函数最小的模型,即损失函数最小的子树。
当α值确定时
子树越大,往往与训练数据的拟合越好,但是模型的复杂度越高;
子树越小,模型的复杂度就越低,但是往往与训练数据的拟合不好;
损失函数正好表示了对两者的平衡。
损失函数认为对于每个分类终点(叶子节点)的不确定性程度就是分类的损失因子,而叶子节点的个数是模型的复杂程度,作为惩罚项,损失函数的第一项是样本的训练误差,第二项是模型的复杂度。如果一棵子树的损失函数值越大,说明这棵子树越差,因此我们希望让每一棵子树的损失函数值尽可能得小,损失函数最小化就是用正则化的极大似然估计进行模型选择的过程。
决策树的剪枝过程(泛化过程)就是从叶子节点开始递归,记其父节点将所有子节点回缩后的子树为Tb(分类值取类别比例最大的特征值),未回缩的子树为T a,如果C α ( T a ) ≥ C α ( T b ) 说明回缩后使得损失函数减小了,那么应该使这棵子树回缩,递归直到无法回缩为止,这样使用“贪心”的思想进行剪枝可以降低损失函数值,也使决策树得到泛化。
可以看出,决策树的生成只是考虑通过提高信息增益对训练数据进行更好的拟合,而决策树剪枝通过优化损失函数还考虑了减小模型复杂度。
公式C α ( T ) = C ( T ) + α ∣ T ∣ 定义的损失函数的极小化等价于正则化的极大似然估计,剪枝过程示意图:

决策树的剪枝算法:

决策树算法很容易过拟合(overfitting),剪枝算法就是用来防止决策树过拟合,提高泛化性能的方法。
剪枝分为预剪枝与后剪枝:
预剪枝是指在决策树的生成过程中,对每个节点在划分前先进行评估,若当前的划分不能带来泛化性能的提升,则停止划分,并将当前节点标记为叶节点。
后剪枝是指先从训练集生成一颗完整的决策树,然后自底向上对非叶节点进行考察,若将该节点对应的子树替换为叶节点,能带来泛化性能的提升,则将该子树替换为叶节点。
那么怎么来判断是否带来泛化性能的提升呢?最简单的就是留出法,即预留一部分数据作为验证集来进行性能评估。
5、ID3、C4.5、CART的区别
这三个是非常著名的决策树算法。简单粗暴来说,ID3 使用信息增益作为选择特征的准则;C4.5 使用信息增益比作为选择特征的准则;CART 使用 Gini 指数作为选择特征的准则。
1、ID3
熵表示的是数据中包含的信息量大小。熵越小,数据的纯度越高,也就是说数据越趋于一致,这是我们希望的划分之后每个子节点的样子。
信息增益 = 划分前熵 - 划分后熵。信息增益越大,则意味着使用属性 a 来进行划分所获得的 “纯度提升” 越大。也就是说,用属性 a 来划分训练集,得到的结果中纯度比较高。
ID3 仅仅适用于二分类问题。ID3 仅仅能够处理离散属性。
2、C4.5
C4.5 克服了 ID3 仅仅能够处理离散属性的问题,以及信息增益偏向选择取值较多特征的问题,使用信息增益比来选择特征。信息增益比 = 信息增益 / 划分前熵 选择信息增益比最大的作为最优特征。
C4.5 处理连续特征是先将特征取值排序,以连续两个值中间值作为划分标准。尝试每一种划分,并计算修正后的信息增益,选择信息增益最大的分裂点作为该属性的分裂点。
3、CART
CART 与 ID3,C4.5 不同之处在于 CART 生成的树必须是二叉树。也就是说,无论是回归还是分类问题,无论特征是离散的还是连续的,无论属性取值有多个还是两个,内部节点只能根据属性值进行二分。
CART 的全称是分类与回归树。从这个名字中就应该知道,CART 既可以用于分类问题,也可以用于回归问题。
回归树中,使用平方误差最小化准则来选择特征并进行划分。每一个叶子节点给出的预测值,是划分到该叶子节点的所有样本目标值的均值,这样只是在给定划分的情况下最小化了平方误差。
要确定最优化分,还需要遍历所有属性,以及其所有的取值来分别尝试划分并计算在此种划分情况下的最小平方误差,选取最小的作为此次划分的依据。由于回归树生成使用平方误差最小化准则,所以又叫做最小二乘回归树。
分类树种,使用 Gini 指数最小化准则来选择特征并进行划分;
Gini 指数表示集合的不确定性,或者是不纯度。基尼指数越大,集合不确定性越高,不纯度也越大。这一点和熵类似。另一种理解基尼指数的思路是,基尼指数是为了最小化误分类的概率。
6、信息增益、信息增益比和熵之间的比较
1)信息增益 vs 信息增益比
之所以引入了信息增益比,是由于信息增益的一个缺点。那就是:信息增益总是偏向于选择取值较多的属性。信息增益比在此基础上增加了一个罚项,解决了这个问题。
2)Gini 指数 vs 熵
既然这两个都可以表示数据的不确定性,不纯度。那么这两个有什么区别那?
Gini 指数的计算不需要对数运算,更加高效;
Gini 指数更偏向于连续属性,熵更偏向于离散属性。
最后
以上就是留胡子故事最近收集整理的关于决策树简单介绍的全部内容,更多相关决策树简单介绍内容请搜索靠谱客的其他文章。
发表评论 取消回复