今天来回顾一下一种很古老,又很好理解的机器学习算法--决策树算法,英文名叫Decision Tree。
简介
决策树是一种基本的分类与回归方法,表明它既可以做分类算法,也可以作为回归算法,同时也特别适合集成学习(比如随机森林)。
构建决策树本质上是一个递归的过程。通常是一个递归地选择最有特征,并根据该特征对训练数据进行分割,使得对各个子数据集有一个最好的分类的过程。
在分类问题中,它表示基于特征对实例进行分类的过程,可以认为是if-then规则的集合(可以理解为嵌套的if-then的条件判断过程),也可以认为是定义在特征空间与类空间上的条件概率分布。
决策树工作原理(构造+剪枝)
决策树基本上就是把我们以前的经验总结出来。以下图为例,我们一般会根据条件 "天气","温度", "刮风","湿度" 来决定是否去打篮球,结果是:"去打篮球",或 "不去打篮球"。这就是一颗典型的决策树。

我们在做决策树时,通常包括3个步骤:特征选择,决策树的生成(构造),决策树的修剪(剪枝)
1.特征选择
特征选择在于选取对训练数据具有分类能力的特征。
通常特征选择的准则是信息增益(information gain)或信息增益比(information gain rate)。从信息增益的角度来讲,决策树的特征选择实际上是对信息不确定性逐渐下降的过程。
特征选择是决定选用哪个特征来划分特征空间。
2.决策树的生成(构造)
生成决策树的过程就是在不同的节点上选择放置不同特征的过程。构造的过程中,会遇到3种类型的节点
- 根节点:决策树的最顶端。比如,上图中的 "天气" 就处于根节点;
- 内部节点:决策树中间的那些节点。比如,"温度","湿度","刮风";
- 叶节点:决策树最底部的节点,也就是决策结果。比如,上图中的 "打篮球" 或 "不打篮球"。
节点之间存在父子关系。比如,根节点会有子节点,子节点会有子子节点,直到叶节点为止。在生成决策树的过程中,需要解决3个问题:选择哪个特征作为根节点,选择哪些特征作为内部节点,什么时候停止并得到目标状态。
3.决策树的修剪(剪枝)
剪枝,顾名思义就是给决策树 "去掉" 一些判断分支,同时在剩下的树结构下仍然能得到不错的结果。
目的:之所以进行剪枝,是为了防止或减少 "过拟合现象" 的发生,是决策树具有更好的泛化能力。
(需要详细了解 "过拟合现象" 的同学,可以参考下文:https://blog.csdn.net/weixin_42077402/article/details/102619041)

具体作法:去掉过于细分的叶节点,使其回退到父节点,甚至更高的节点,然后将父节点或更高的叶节点改为新的叶节点。
剪枝的两种方法:
- 预剪枝:在决策树构造时就进行剪枝。在决策树构造过程中,对节点进行评估,如果对其划分并不能再验证集中提高准确性,那么该节点就不要继续王下划分。这时就会把当前节点作为叶节点。
- 后剪枝:在生成决策树之后再剪枝。通常会从决策树的叶节点开始,逐层向上对每个节点进行评估。如果剪掉该节点,带来的验证集中准确性差别不大或有明显提升,则可以对它进行剪枝,用叶子节点来代填该节点。
注意:决策树的生成只考虑局部最优,相对地,决策树的剪枝则考虑全局最优。
如何判定决策树的构造有效性
回顾之前是否去打球的例子,决策过程的3个问题中的一个问题是选择哪个属性作为根节点。再回答这个问题之前,让我们想来学习几个概念:纯度,信息熵,条件熵,信息增益(ID3算法),信息增益比(C4.5算法),基尼指数(Cart算法)
>>纯度
数学上,纯度可以用于表示讲目标变量的分歧最小。决策树的构造过程可以理解为寻找纯净划分的过程。
举例说明,假设3个集合:按照纯度的指标来说,集合1(分歧最小)> 集合2> 集合3(分歧最大)。
- 集合1:6次都去打球
- 集合2:4次去打球,2次不去
- 集合3:3次去打球,3次不去
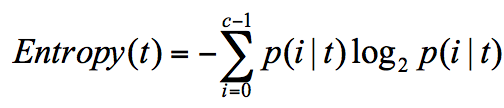
>>信息熵:表示信息的不确定度。
在信息论与概率统计中,随即离散事件出现的概率存在着不确定性。信息熵(Entropy)是表示随机变量不确定性的度量。信息熵越大,随机变量的不确定性就越大,即包含的信息越多。信息熵的计算公式:
其中,p(i|t) 代表了节点t为分类i的概率。
举例说明,假设有2个集合:
- 集合1:5次打球,1次不打。
- 集合2:3次打球,3次不打。
对于集合1,节点划分为类别"打球"的概率为5/6,划分为类别"不打"的概率为1/6,带入信息熵公式得:
![]()
对于集合2,节点划分为类别"打球"的概率为3/6,划分为类别"不打"的概率为3/6,带入信息熵公式得:
![]()
可见,信息熵越大,纯度越低。当集合中的所有样本都是均匀混合时,信息熵最大,纯度最低,包含的信息量最大。
>> 条件熵(conditional entropy) H(X|Y):
定义为特征变量X在给定条件下Y的条件概率分布的信息熵对X的数学期望。
我们在构造决策树时,会基于纯度来构建,经典的 "不纯度" 的判定指标有3种,分别是信息增益(ID3算法),信息增益比(C4.5算法),以及基尼系数(Cart算法)。
>> <ID3算法> 信息增益(Information Gain)
信息增益指的是划分可以带来的纯度的提高,也即信息熵的下降。物理意义表示得知特征X的信息而使得类Y的信息的不确定减少的程度。它的计算公共,表示父节点信息熵减去所有子节点的信息熵:
![]()

其中,D是父节点,Di是子节点,Gain(D,a)中的a作为D节点的属性选择。

以上表为例说明,假设D天气 = 晴, D1 刮风 = 是,D2 刮风 = 否
D2 刮风 = 否,会有 5 次去打篮球,5 次不打篮球。其中 D1 刮风 = 是,有 2 次打篮球,1 次不打篮球。D2 刮风 = 否,有 3 次打篮球,4 次不打篮球。那么a 代表节点的属性,即天气 = 晴。

针对图上这个例子,D 作为节点的信息增益为:

也就是 D 节点的信息熵 -2 个子节点的归一化信息熵。2个子节点归一化信息熵 =3/10 的 D1 信息熵 +7/10 的 D2 信息熵。
我们基于 ID3 的算法规则,完整地计算下我们的训练集,训练集中一共有 7 条数据,3 个打篮球,4 个不打篮球,所以根节点的信息熵是:
![]()
如果你将天气作为属性的划分,会有三个叶子节点 D1、D2 和D3,分别对应的是晴天、阴天和小雨。
我们用 + 代表去打篮球,- 代表不去打篮球。
那么第一条记录,晴天不去打篮球,可以记为 1-,于是我们可以用下面的方式来记录 D1,D2,D3:
D1(天气 = 晴天)={1-,2-,6+}
D2(天气 = 阴天)={3+,7-}
D3(天气 = 小雨)={4+,5-}
我们先分别计算三个叶子节点的信息熵:

因为 D1 有 3 个记录,D2 有 2 个记录,D3 有2 个记录,所以 D 中的记录一共是 3+2+2=7,即总数为 7。所以 D1 在 D(父节点)中的概率是 3/7,D2在父节点的概率是 2/7,D3 在父节点的概率是 2/7。
那么作为子节点的归一化信息熵 = 3/7*0.918+2/7*1.0+2/7*1.0=0.965。
因为我们用 ID3 中的信息增益来构造决策树,所以要计算每个节点的信息增益。
天气作为属性节点的信息增益为,Gain(D , 天气)=0.985-0.965=0.020。
同理我们可以计算出其他属性作为根节点的信息增益,它们分别为:
Gain(D , 温度)=0.128
Gain(D , 湿度)=0.020
Gain(D , 刮风)=0.020
我们能看出来温度作为属性的信息增益最大。因为 ID3 就是要将信息增益最大的节点作为父节点,这样可以得到纯度高的决策树,所以我们将温度作为根节点。其决策树状图分裂为下图所示:

然后我们要将上图中第一个叶节点,也就是 D1={1-,2-,3+,4+}进一步进行分裂,往下划分,计算其不同属性(天气、湿度、刮风)作为节点的信息增益,可以得到:
Gain(D , 天气)=0
Gain(D , 湿度)=0
Gain(D , 刮风)=0.0615
我们能看到刮风为 D1 的节点都可以得到最大的信息增益,这里我们选取刮风作为节点。同理,我们可以按照上面的计算步骤得到完整的决策树,结果如下:

ID3 的算法规则相对简单,可解释性强。同样也存在缺陷,比如我们会发现
- ID3 算法倾向于选择取值比较多的属性。这样,如果我们把“编号”作为一个属性(一般情况下不会这么做,这里只是举个例子),那么“编号”将会被选为最优属性 。但实际上“编号”是无关属性的,它对“打篮球”的分类并没有太大作用。
- ID3没办法处理连续值,对于连续值的特征无法进行划分;
- ID3无法处理有缺失值的数据;
- ID3无法处理过拟合问题,而决策树很容易出现过拟合;
>> <C4.5算法> 信息增益比(Information Gain)
1>. 采用信息增益率
因为 ID3 在计算的时候,倾向于选择取值多的属性。为了避免这个问题,C4.5 采用信息增益率的方式来选择属性。信息增益率 = 信息增益 / 属性熵
当属性有很多值的时候,相当于被划分成了许多份,虽然信息增益变大了,但是对于 C4.5 来说,属性熵也会变大,所以整体的信息增益率并不大。
2>. 采用悲观剪枝
ID3 构造决策树的时候,容易产生过拟合的情况。在 C4.5中,会在决策树构造之后采用悲观剪枝(PEP),这样可以提升决策树的泛化能力。
悲观剪枝是后剪枝技术中的一种,通过递归估算每个内部节点的分类错误率,比较剪枝前后这个节点的分类错误率来决定是否对其进行剪枝。这种剪枝方法不再需要一个单独的测试数据集。
3>. 离散化处理连续属性
C4.5 可以处理连续属性的情况,对连续的属性进行离散化的处理。比如打篮球存在的“湿度”属性,不按照“高、中”划分,而是按照湿度值进行计算,那么湿度取什么值都有可能。该怎么选择这个阈值呢,C4.5 选择具有最高信息增益的划分所对应的阈值。
4>. 处理缺失值
针对数据集不完整的情况,C4.5 也可以进行处理。
假如我们得到的是如下的数据,你会发现这个数据中存在两点问题。第一个问题是,数据集中存在数值缺失的情况,如何进行属性选择?第二个问题是,假设已经做了属性划分,但是样本在这个属性上有缺失值,该如何对样本进行划分?

我们不考虑缺失的数值,可以得到温度 D={2-,3+,4+,5-,6+,7-}。温度 = 高:D1={2-,3+,4+};温度 = 中:D2={6+,7-};温度 = 低:D3={5-} 。这里 + 号代表打篮球,- 号代表不打篮球。比如ID=2 时,决策是不打篮球,我们可以记录为 2-。
所以三个叶节点的信息熵可以结算为:

这三个节点的归一化信息熵为 3/6*0.918+2/6*1.0+1/6*0=0.792。
针对将属性选择为温度的信息增益率为:
Gain(D′, 温度)=Ent(D′)-0.792=1.0-0.792=0.208
D′的样本个数为 6,而 D 的样本个数为 7,所以所占权重比例为 6/7,所以 Gain(D′,温度) 所占权重比例为6/7,所以:
Gain(D, 温度)=6/7*0.208=0.178
这样即使在温度属性的数值有缺失的情况下,我们依然可以计算信息增益,并对属性进行选择。
虽然C4.5解决了ID3算法中的几个缺点,但其仍有不足之处:
- C4.5的剪枝不够有效;
- 和ID3一样,C4.5也是生成多叉树,然而计算机中二叉树模型比多叉树效率高很多;
- C4.5只能处理分类问题,不能处理回归为题。
>> <CART算法> 基尼指数
对C4.5进行改进就得到了CART算法,采用二叉树作为树模型的基础结构,通过基尼系数(分类问题)和方差(回归问题)属性来选取最优划分特征。
CART分类树
先引入基尼指数,基尼指数也可以表述数据集D的不确定性,基尼指数越大,样本集合的不确定性就越大,包含的信息量就越大。
对于给定的样本集,假设有k个类别,第k个类别的概率为Pk,则基尼指数的表达式为:

对于给定的样本集合D,其基尼指数可以表述为:

在给定特征A的情况下,若集合被特征A的取值给分成D1和D2 ,则在特征A的条件下的基尼指数可以表述为:

CART回归树
CART回归树是CART算法中新引进的用来处理回归问题,其算法流程和CART分类树差不多,但在细节上有写不同,主要是以下两个方面:
1)对连续值的处理方式不一样,采用的特征选择属性不一样,在这里采用的是常用的和方差来进行特征选择,其表达式如下:

对于任意特征A,对应的任意划分点将数据集划分成D1和D2两个部分,寻找到使得D1和D2各自集合的均方误差最小,并且D1和D2的均方误差之和也最小的划分点,该划分点就是该特征最佳的划分点,因此利用和方差选取最优特征时,就是选取使得和方差最小的特征和划分点。
2)决策树的预测方式不一样,在分类算法中都是采用叶子结点中数量最多的类别作为输出值,而对于回归问题,一般采用叶子结点中的样本集的均值或者中位数作为输出值,有的还会基于叶子结点中的集合建立线性回归模型来作为输出值。
CART算法虽然进行了大量的改进,但仍然存在一些缺陷:
- 每次用最有特征进行划分,这种贪心算法很容易陷入局部最优。事实上,分类决策不应该由单个特征决定,而是一组特征;
- 样本的敏感性,样本的一点改动足以影响整个数的结构;
决策树的优缺点
决策树的优点:
1)决策树简单直观,相比于如神经网络之类的黑盒模型,决策树容易理解,还可以进行可视化;
2)基本上不需要做预处理,不需要做归一化,不需要处理缺失值;
3)使用决策树进行预测的时间复杂度低,只有O(log2m),m为样本数;
4)即可以处理离散值,也可以处理连续值,无论数对于分类问题还是回归问题;
5)可以很容易的处理多分类的问题;
6)可以用交叉验证来对决策数进行剪枝,避免过拟合(对于很复杂的决策树,最好配合预剪枝一起处理);
7)对于异常点的容错性好,健壮性高;
决策树的缺点:
1)决策树很容易过拟合,很多时候即使进行后剪枝也无法避免过拟合的问题,因此可以通过设置树深或者叶节点中的样本个数来进行预剪枝控制;
2)决策树属于样本敏感型,即使样本发生一点点改动,也会导致整个树结构的变化,可以通过集成算法来解决;
3)寻找最优决策树是各NP难题,一般是通过启发式方法,这样容易陷入局部最优,可以通过集成算法来解决;
4)决策树无法表达如异或这类的复杂问题;
小结:
感觉单独用决策树算法的情况不多,决策树大多还是作为集成算法的基学习器来使用的。
特别声明:本文中ID3算法,C4.5算法,Cart算法部分引用了 "微笑sun"的博客
参考:
《统计学习方法》 第5章 李航
https://www.cnblogs.com/jiangxinyang/p/9219771.html
https://www.cnblogs.com/pinard/p/6050306.html
https://www.cnblogs.com/molieren/articles/10664954.html
最后
以上就是执着鱼最近收集整理的关于决策树 (Decision Tree)- 机器学习算法的全部内容,更多相关决策树内容请搜索靠谱客的其他文章。
发表评论 取消回复