一、前言
高通滤波器的功能是让高频率通过而滤掉或衰减低频,其作用是使图像得到锐化处理,突出图像的边界。经理想高频滤波后的图像把信息丰富的低频去掉了,丢失了许多必要的信息**。一般情况下,高通滤波对噪声没有任何抑制作用**,若简单的使用高通滤波,图像质量可能由于噪声严重而难以达到满意的改善效果。为了既加强图像的细节又抑制噪声,可采用高频加强滤波。这种滤波器实际上是由一个高通滤波器和一个全通滤波器构成的,这样便能在高通滤波的基础上保留低频信息。
高通滤波可以分为理想高通滤波器、巴特沃斯高通滤波器和高斯高通滤波器。对于大小为M*N的图像,频率点(u,v)与频域中心的距离为D(u,v),其表达式为:

二、理想高通滤波器(IHPF)
1、基本定义
理想高通滤波器的产生公式为:

其中D0为理想高通滤波器的截止频率,注意与理想高通滤波器的表达式区别在于将0和1交换而条件不变。
2、matlab实现理想高通滤波器
(1)实现代码:
close all;
clear all;
clc;
I = imread('coins.png');
subplot(121),imshow(I);
title('原始图像');
% 函数fft2()用于计算二维傅立叶变换
% 函数fftshift()是对函数fft2()作傅里叶变换后得到的频谱进行平移,将变换后的图像频谱中心从矩阵的原点移到矩阵的中心
% 作二维傅里叶变换前一定要用函数im2double()把原始图像的数据类型由uint8转化为double类型
% 否则会因为unit8数据类型只能表示0-255的整数而出现数据截断,进而出现错误结果
s=fftshift(fft2(im2double(I)));
[a,b]=size(s);
a0=round(a/2);
b0=round(b/2);
d0=50; % 将理想高通滤波器的截止频率D0设置为50
for i=1:a %双重for循环计算频率点(i,j)与频域中心的距离D(i,j)=sqrt((i-round(a/2)^2+(j-round(b/2)^2))
for j=1:b
distance=sqrt((i-a0)^2+(j-b0)^2);
if distance<=d0 % 根据理想高通滤波器产生公式,当D(i,j)<=D0,置为0
h=0;
else
h=1; % 根据理想高通滤波器产生公式,当D(i,j)>D0,置为1
end
s(i,j)=h*s(i,j);% 频域图像乘以滤波器的系数
end
end
% real函数取元素的实部
s=real(ifft2(ifftshift(s)));% 最后进行二维傅里叶反变换转换为时域图像
subplot(122),imshow(s,[]);
title('理想高通滤波所得图像');
(2)实现效果:

三、巴特沃斯高通滤波器(BHPF)
1、基本定义
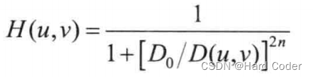
巴特沃斯高通滤波器的产生公式为:

其中D0为巴特沃斯高通滤波器的截止频率,注意与巴特沃斯低通滤波器的表达式区别在于将分母的D0和D(u,v)交换位置。
2、matlab实现巴特沃斯高通滤波器
(1)实现代码:
close all;
clear all;
clc;
I = imread('coins.png');
subplot(121),imshow(I);
title('原始图像');
% 函数fft2()用于计算二维傅立叶变换
% 函数fftshift()是对函数fft2()作傅里叶变换后得到的频谱进行平移,将变换后的图像频谱中心从矩阵的原点移到矩阵的中心
% 作二维傅里叶变换前一定要用函数im2double()把原始图像的数据类型由uint8转化为double类型
% 否则会因为unit8数据类型只能表示0-255的整数而出现数据截断,进而出现错误结果
s=fftshift(fft2(im2double(I)));
[N1,N2]=size(s);%求二维傅里叶变换后图像大小
n=2; % 将巴特沃斯高通滤波器的阶数n设置为2
d0=30; % 将巴特沃斯高通滤波器的截止频率D0设置为30
n1=round(N1/2);
n2=round(N2/2);
for i=1:N1 %双重for循环计算频率点(i,j)与频域中心的距离D(i,j)=sqrt((i-round(N1/2)^2+(j-round(N2/2)^2))
for j=1:N2
distance=sqrt((i-n1)^2+(j-n2)^2);
if distance==0
h=0;
else
h=1/(1+(d0/distance)^(2*n));% 根据巴特沃斯高通滤波器公式为1/(1+[D0/D(i,j)]^2n)
end
s(i,j)=h*s(i,j);% 频域图像乘以滤波器的系数
end
end
% real函数取元素的实部
s=real(ifft2(ifftshift(s)));% 最后进行二维傅里叶反变换转换为时域图像
subplot(122),imshow(s,[]);
title('Butterworth高通滤波图像');
(2)实现效果:

四、高斯高通滤波器(GHPF)
1、基本定义
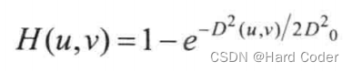
高斯高通滤波器的产生公式为:

其中D0为高斯高通滤波器的截止频率,注意与高斯低通滤波器的表达式区别在于使用1减去表达式。
2、matlab实现高斯高通滤波器
(1)实现代码:
close all;
clear all;
clc;
I = imread('coins.png');
subplot(121),imshow(I);
title('原始图像');
% 函数fft2()用于计算二维傅立叶变换
% 函数fftshift()是对函数fft2()作傅里叶变换后得到的频谱进行平移,将变换后的图像频谱中心从矩阵的原点移到矩阵的中心
% 作二维傅里叶变换前一定要用函数im2double()把原始图像的数据类型由uint8转化为double类型
% 否则会因为unit8数据类型只能表示0-255的整数而出现数据截断,进而出现错误结果
s=fftshift(fft2(im2double(I)));
[a,b]=size(s);
d0=10; % 将高斯高通滤波器的截止频率D0设置为10
a0=round(a/2);
b0=round(b/2);
for i=1:a
for j=1:b
distance=sqrt((i-a0)^2+(j-b0)^2); % 根据高斯高通滤波器公式H(u,v)=e^-[D^2(u,v)/2*D0^2]
h=1-(exp(-(distance^2)/(2*(d0^2)))); % exp表示以e为底的指数函数
s(i,j)=h*s(i,j);% 频域图像乘以滤波器的系数
end
end
s=real(ifft2(ifftshift(s)));% 最后进行二维傅里叶反变换转换为时域图像
subplot(122),imshow(s,[]);
title('高斯高通滤波图像');
(2)实现效果:

由于刚刚开始学习图像处理,对于很多知识理解不到位。如有错误,恳请指正,任重而道远,慢慢加油!
最后
以上就是文艺嚓茶最近收集整理的关于图像处理之理想高通滤波器、巴特沃斯高通滤波器和高斯高通滤波器的matlab简单实现的全部内容,更多相关图像处理之理想高通滤波器、巴特沃斯高通滤波器和高斯高通滤波器内容请搜索靠谱客的其他文章。
发表评论 取消回复