
背景:
本程序以轴承的故障诊断为背景,主要是提取轴承外圈故障特征频率与内圈故障特征频率。
代码下载
参考文献:
[1]陈向民,于德介,罗洁思.基于信号共振稀疏分解的包络解调方法及其在轴承故障诊断中的应用[J].振动工程学报,2012(6):628-636.
[2] Yu D , Cheng J , Yang Y . Application of EMD method and Hilbert spectrum to the fault diagnosis of roller bearings[J]. Mechanical Systems and Signal Processing, 2005, 19(2):259-270.
[3] 张文义, 于德介, 陈向民. 基于信号共振稀疏分解与能量算子解调的轴承故障诊断方法[J]. 中国电机工程学报, 2013, 000(020):111-118.
实现步骤:
1.根据冲击性成分与谐波成分的品质因子有明显的不同,而冲击性成分具有明显的低品质因子属性,首先利用“信号稀疏共振理论”提取出低品质因子分量对应的冲击性成分,完成信号的初步处理,降低噪声影响。
2.对低品质因子分量进行EMD分解,得到若干各IMF分量。考虑到故障信息主要反映在前几个IMF分量的调制幅值,所以主要分析前几个IMF分量。
3.根据轴承故障信息反映在调制信号,对前几个IMF分量进行能量算子解调得到瞬时幅值谱,通过瞬时幅值谱判断是否存在故障频率,从而判断轴承故障类型
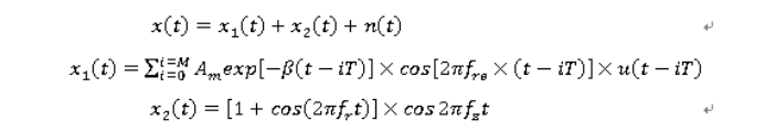
仿真信号:
根据轴承故障信号特点,设置了如下的仿真信号,具体如下所示:

最后,上述的未知参数的取值如下所示:

仿真结果

实际信号:
实际故障信号,是从网上下载的美国凯斯西储大学的轴承故障信号,它是以mat文件的格式给出。我们下载了两组故障数据,分别是内圈故障数据和外圈故障数据
数据1:

数据2:

代码下载
最后
以上就是紧张衬衫最近收集整理的关于基于EMD分解和信号稀疏共振理论的轴承故障信号Matlab仿真分析的全部内容,更多相关基于EMD分解和信号稀疏共振理论内容请搜索靠谱客的其他文章。
发表评论 取消回复