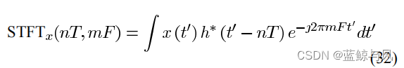
(短时傅里叶变换STFT
- 离散的短时傅里叶变换
- Matlab代码
- 实验结果
离散的短时傅里叶变换

Matlab代码
function [STFT, fre,t] = stft(x, win, hop, fs,freqlow,freqhigh,alpha)
% 计算短时傅里叶变换
% Input:
% x - 一维信号
% win - 窗函数
% hop - hop - 移动长度
% fs - 采样率
% freqlow - 最小频率
% freqhigh - 最大频率
% alpha - 频率分辨率
%
% Output:
% STFT - STFT-矩阵 [T, F]
% fre - 频率向量
% t - 分割后时间向量
% Jinshun Shen,Xidian University, March 2022
%jsshen@stu.xidian.edu.cn
% This program can not be used for commercialization without the authorization of its author.
% 把 x 变为列向量
x = x(:);
win=win(:);
xlen = length(x);
wlen = length(win);
% 窗口数目 L
L =fix(xlen/hop);
fre=freqlow:alpha:freqhigh;
N=length(fre);
STFT = zeros(N, L);
% STFT
flag1=0;%记录第一阶段加的窗个数
flag2=0;
for i = 0:L-1
% 加窗
if i*hop <= 0.5*wlen%刚开始,窗必须从最高的地方(窗的中心)开始,
%否则0.5*wlen长度的信号的频率会消失,因为gauss窗的前0.5*wlen权重小
K=round(0.5*wlen+i*hop);%窗的宽度,最大为wlen
xw = x(1:K).*win(wlen-K+1:end);
t=(1: K)/fs;
t=t(:);
for k=1:N
f=fre(k);
STFT(k,i+1)=sum(xw.*exp(-1i*2*pi*f*t));
end
flag1=flag1+1;
elseif i*hop > 0.5*wlen && i*hop<= xlen-0.5*wlen%窗函数不需要截断
xw = x(1+(i-flag1)*hop : wlen+(i-flag1)*hop).*win;
t=(1+(i-flag1)*hop : wlen+(i-flag1)*hop)/fs;
t=t(:);
for k=1:N
f=fre(k);
STFT(k,i+1)=sum(xw.*exp(-1i*2*pi*f*t));
end
flag2=flag2+1;
elseif i*hop > xlen-0.5*wlen
K=wlen-(i-flag1-flag2)*hop;%窗的宽度,最大为wlen
xw = x(xlen-K+1:end).*win(1:K);
t=(xlen-K+1:xlen)/fs;
t=t(:);
for k=1:N
f=fre(k);
STFT(k,i+1)=sum(xw.*exp(-1i*2*pi*f*t));
end
end
end
% 取每个窗口中点的时间点
t = (0:hop:xlen-1)/fs;
end
实验结果

最后
以上就是干净流沙最近收集整理的关于短时傅里叶变换STFT(非使用fft函数)的全部内容,更多相关短时傅里叶变换STFT(非使用fft函数)内容请搜索靠谱客的其他文章。
本图文内容来源于网友提供,作为学习参考使用,或来自网络收集整理,版权属于原作者所有。
发表评论 取消回复