信号功率简介
信号可分为能量有限信号和功率有限信号。如果信号的功率是有限的,则称为功率有限信号,简称功率信号。功率信号的能量为无限大。它对通信系统的性能有很大影响,决定了无线系统中发射机的电压和电磁场强度。
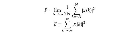
连续时间信号f(t)的能量E和功率P分别定义为:

离散时间信号f(k)的能量E和功率P分别定义为:

若信号能量有限,即
,且
,则称此信号为能量信号;若信号功率有限,即
,且E趋近于
,则称此信号为功率信号。功率有限信号也就是平均功率大于零且有限的信号。
功率信号特点
功率有限信号的功率大于零且有限,能量无限。
一个信号不可能既是功率信号,又是能量信号,但可以既非功率信号,又非能量信号。一般地,周期信号和随机信号是功率有限信号[2]。
如何判断功率信号和能量信号呢?
信号的能量和功率是信号与系统分析里的基本概念或称通用概念,它的定义不会专门去考虑去照顾某一个特定信号的情况。通俗的说,时间不因你而存在,也不因你而消亡。过去、现在和将来,都是信号与系统这门学科需要关注的时间范围。为了广泛的适应性,这两个基本概念的积分时间都是无穷大。
根据两种信号的特点,在无限时间的周期信号为功率有限信号,而能量信号一定为非周期信号。非周期信号又分为三种。一是能量信号:持续时间有限的脉冲信号,且
时,
,一种是功率信号:持续时间无限,但幅度有限的信号;一种是既非功率又非能量信号,当
时,
。
无线信号功率计算公式
1、自由空间传播模型
(前提:发射端与接收端之间的传播无障碍物,比如卫星与手机的连接信号)
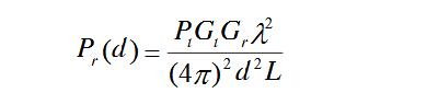
Friis公式:

Pr(d):接收到的信号功率Pt:发射功率Gt:发射天线增益Gr:接收天线增益λ:波长(m)
d:发射端与接收端的距离(m)L:与传播无关的损耗(传输线衰减、滤波损耗、天线损耗)
注:功率与增益的单位都为W
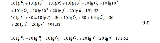
可以由上述公式改写为Pr,是Pr(d)的非函数形式

假设理想状态下无损耗,L=0,f=c/λ,将常数加和,可以演算得:

如果将Pr,Pt,Gt,Gr单位换为mW,可以推导出以下公式

无线概念中常用来表示功率的的单位一般用dbm,dbi,与W的转换关系如下

2、地面反射模型
在d》50m情况下,

可以演算为

如果将Pr,Pt,Gt,Gr单位换为mW,可以推导出以下公式

路径损耗公式为

最后
以上就是着急宝马最近收集整理的关于无线信号功率计算公式(自由空间模型,地面反射模型)的全部内容,更多相关无线信号功率计算公式(自由空间模型内容请搜索靠谱客的其他文章。
发表评论 取消回复