matlab中正弦信号的功率计算
- 信号的能量、功率的定义式
- 正弦信号的能量、功率
- matlab中的正弦信号
- 范数
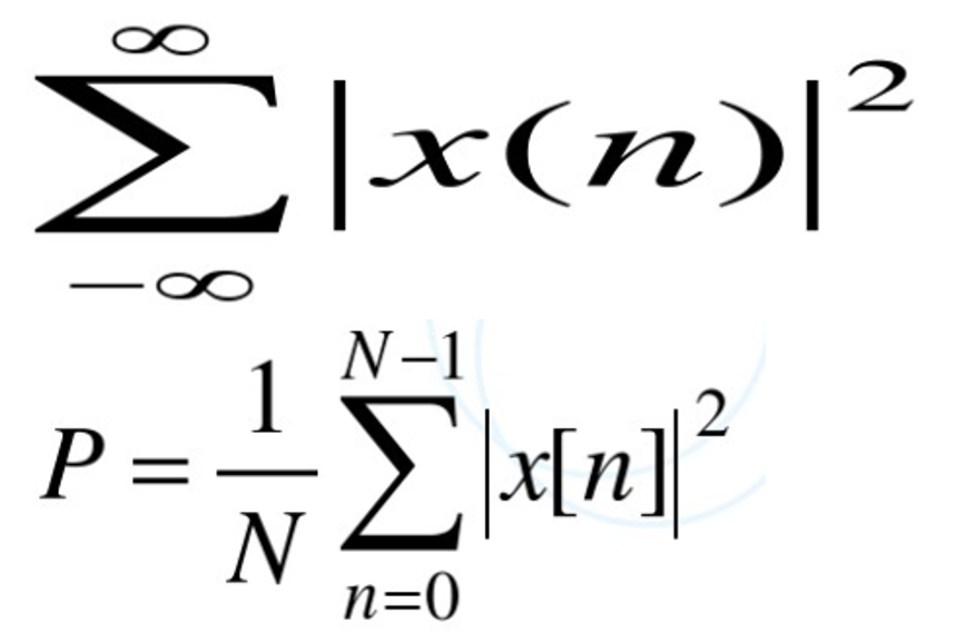
信号的能量、功率的定义式


正弦信号的能量、功率

matlab中的正弦信号
matlab中,一般是通过定义一个一维行向量当自变量来创建函数,如:

虽然绘图用plot看起来连续,但实际是离散信号,所以计算能量和功率公式是要用离散的:

写成matlab则是:

范数
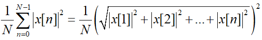
matlab中范数norm默认为2-范数,即norm(x)=norm(x,2)
根据百度百科有: 
因为
(左边为离散功率表达式,右边为2-范数表达式)
所以,matlab中正弦信号的计算公式也可以用范数写成:

最后
以上就是刻苦篮球最近收集整理的关于matlab中正弦信号的功率计算,范数norm信号的能量、功率的定义式正弦信号的能量、功率matlab中的正弦信号范数的全部内容,更多相关matlab中正弦信号内容请搜索靠谱客的其他文章。
本图文内容来源于网友提供,作为学习参考使用,或来自网络收集整理,版权属于原作者所有。
发表评论 取消回复